(...settantaquattro: è un numero difettivo e odioso. Nonostante la scelta sia casuale, e nonostante io non stia per parlarvi di divisori, ma di moltiplicatori, non ci poteva essere numero più appropriato per quello che in effetti è il QED del sesto KPD, nonché, letterariamente, la naturale prosecuzione di "Sparecchiavo...". Fatto il punto nave per i nuovi lettori, che crescono in quantità e qualità, "o buon Appollo, al solito lavoro fammi del tuo valor siffatto vaso, come dimandi a li mortacci loro"...)
Riccardo Barbieri Hermitte è una persona elegante, competente, e preoccupata, certo a modo suo (come ognuno di noi), ma con una convincente parvenza di sincerità, per le sorti del paese. Ho avuto modo di ascoltarlo in una sola occasione, e, sperando che questo non gli rovini la carriera, devo dire che ho apprezzato al 99% la sua analisi, l'1% essendo il rituale inchino ai luoghi comuni dovuto alla necessità tattica di farsi scusare per aver detto con compostezza ma fuori dai denti alcune verità spiacevoli sul nostro paese (perché agli abitanti del nostro paese torna sgradito sentirsi dire che questo ha fondamentali economici sani: più esattamente, tornava sgradito ad alcuni degli astanti, membri di quelle élite che dalla proclamazione dell'inferiorità etnica dei propri cittadini traggono la legittimazione per espropriarli - tendenza assolutamente bipartisan, peraltro, come da noi chiarito molto tempo addietro notando la celeste corrispondenza di economici nonsensi fra il nuovo filosofo di Treviri e il salvatore della Patria...).
Alfredo (nome di fantasia) era invece "er meccanico" più vicino a casa. Non si può dire che fosse elegante, se non nella misura in cui potremmo definire "eleganza" la naturale, innata capacità di essere a proprio agio, e in particolare di indossare abiti appropriati, in ogni circostanza. La tuta sporca di grasso, leggermente oversize per garantire libertà di movimento agli arti, ma soprattutto a una rimarchevole panzetta (la libera circolazione dei trigliceridi...), non sarebbe stata vista con occhio indulgente attorno a un tavolo direzionale di BoA! D'altra parte, te ce vojo vedé a tte a tuffarti nelle viscere de "la màghina" con una bella cravatta a sette pieghe... C'è anche il caso di fare la fine di Isadora Duncan, che noi non auguriamo a nessuno, nemmeno a quelli che spingendo troppo in là, oltre il muro del razionale, la difesa dei propri porci interessi di parte, l'hanno resa inevitabile a molti. Sulla competenza... non mi pronuncio, rinviando a un grande classico della letteratura italiana (che, pensate, mi è stato consigliato dal Gaddus...).
Ma torniamo a Barbieri Hermitte. Voglio precisare che quando parlo della sua competenza non mi riferisco specificamente a quella scientifica. Devo farlo per correttezza: non essendoci molte pubblicazioni scientifiche del dottor Barbieri Hermitte in giro, se non facessi questa precisazione la mia affermazione potrebbe essere interpretata in modo antifrastico come sarcasmo, soprattutto alla luce di quanto sto per raccontarvi. Quando parlo di competenza intendo questo: una lunga esperienza dei mercati acquisita presso i mercati, cioè presso i soliti noti: JP Morgan, Morgan Stanley, Merril Lynch, e anche Algebris, che nel CV non c'è... ma il paese è piccolo, e la gente mormora, anche quando non ce ne sarebbe motivo (e comunque non ce n'è mai bisogno)...
Presso tutte queste istituzioni prestigiose, che hanno legittimo scopo di lucro, il dottor Barbieri Hermitte ha svolto ruoli di responsabilità che non avrebbe potuto svolgere se non avesse avuto le competenze necessarie per produrre reddito. Insomma: è una persona che sa senz'altro fare tante cose che io non so fare, come lo sono tante altre persone (ad esempio Jago), tutte persone che per questo motivo suscitano la mia curiosità intellettuale e il mio rispetto umano (a differenza dei tanti cialtroni buonisti che circolano anche nel mio settore: i tanti economisti invenduti per mancanza di acquirente, che difendono la causa "giusta" nel modo sbagliato). Naturalmente, dal fatto che Jago sappia scolpire bene non consegue che egli sappia come me suonare mediocremente, e così dal fatto che il dottor Barbieri Hermitte sappia fare tante cose complicate che io non so fare, non discende che lui sappia fare alcune semplici cose che so fare io, cosa alla quale, fino a poco tempo fa, credo lui potesse facilmente rassegnarsi.
Poi è successa una cosa interessante, che credo non sia sfuggita all'attenzione di molti di voi (come non è sfuggita all'attenzione di Palombi e Di Foggia, a pag. 16 del Fatto Quotidiano del 26 aprile scorso, quando, incalzato dal mio personale Sturm und Drang, ero a Libberopoly in cerca di solitudine - motivo per il quale dovetti dire a Marco: "penZace tu..." e lui ci pensò egregiamente...).
Sì, avete capito. Sto parlando proprio del famoso box a p. 17 del Programma Nazionale di Riforma, la terza parte del Documento di Economia e Finanza 2017. A futura memoria, eccovelo qui:
Sintesi: premesso che, come voi sapete (e dovrebbero sapere anche i politici) Monti decise di "aggredire" la spesa pubblica in modo del tutto pretestuoso, ovvero non per "consolidare" conti pubblici che erano del tutto sostenibili, ma per generare la disoccupazione necessaria al riequilibrio dei conti esteri (via calo dei salari-miglioramento della competitività-riduzione delle importazioni-aumento delle esportazioni), ne consegue che questa medicina, somministrata sulla base di una diagnosi volutamente errata, ha causato enormi danni al paziente. I danni sono quantificati nella tabellina come scostamenti percentuali dallo scenario di base, che non si sa bene quale sia. Se prendiamo per buono quello che il Fmi forniva all'epoca (cioè quello del secondo World Economic Outlook del 2011, riportato a base dei prezzi 2010 dall'originaria base 2000), la perdita di Pil reale sul quadriennio in questione può essere quantificata come segue:
Quel tesoro del Tesoro ci propone ben due controfattuali (al prezzo di parecchie migliaia di euro estorte dalle nostre tasche): uno standard, e uno con frizioni finanziarie.
E cosa saranno mai queste frizioni finanziarie!?
Sono la geniale scoperta, recentemente fatta dagli economisti (poi dicono che l'economia non è una scienza...), secondo cui capita che in caso di crisi bancaria le banche siano restie a prestare non solo i soldi che non hanno, ma anche quelli che hanno, perché temono di non rivederli indietro. Geniale, vero? Dite la verità: senza il brillante articolo di Gertler e Karadi (2011) voi non ci sareste mai arrivati! Consolatevi: gli economisti del Tesoro (chi sono? Hanno pubblicato il loro modello? È stato sottoposto a peer review? Si può sapere come è fatto? Perché sarebbe anche un problema di democrazia, sapere su quale base informativa l'esecutivo prende le decisioni che ci riguardano, non vi pare?...), gli economisti del Tesoro, disais-je, pur conoscendo l'articolo, ci sono arrivati solo sei anni dopo. Sei anni dopo cosa? Dopo Gertler? No: sei anni dopo questo, dopo il primo QED, quello in cui chiaramente dicevo (inascoltato) che l'austerità avrebbe provocato un serio deterioramento della qualità dei crediti (ovvero un aumento delle sofferenze).
Io parlavo di sofferenze quando i cialtroni parlavano di debito pubblico: sì, i cialtroni che hanno deliberatamente condannato a morte la nostra economia.
Come mai, nei controfattuali di quel tesoro del Tesoro, l'impatto delle manovre recessive di Monti è più drammatico (arrivando a una perdita cumulata di quasi 300 miliardi di euro sul quadriennio 2012-2015) se si considerano le frizioni finanziarie? Ma è semplice: perché questi scenari tengono conto del fatto che quando le banche non prestano, l'unico settore che può iniettare liquidità nel sistema economico è quello pubblico, e quindi in queste circostanze l'austerità (ovvero la sterilizzazione della spesa pubblica, diventata una fonte di liquidità necessaria per il funzionamento del sistema) ha impatti finanziari devastanti. Insomma: quando le banche non vogliono mettere soldi in circolo, solo lo Stato può farlo, e se glielo impedisci è morte per imprese e persone: le aziende non possono pagare i fornitori, che non possono pagare i dipendenti, che non possono pagare il mutuo, mettendo in ulteriore difficoltà le banche, che quindi vogliono mettere in circolo ancora meno soldi, ecc.
L'austerità in queste circostanze è un salasso praticato a un paziente anemico.
Noi siamo andati oltre! Siamo arrivati all'assurdo che lo Stato non solo non iniettava liquidità con un piano di investimenti pubblici (o anche semplicemente innalzando gli stipendi pubblici, cosa che, come sappiamo, ha un impatto positivo sugli investimenti privati: ce lo dice Marattin, prestigiosamente pubblicato qui!), ma addirittura si rifiutava coi pretesti più vari di dare agli imprenditori quanto spettava loro, nonostante glielo chiedesse addirittura la lue! Eh, già, perché, chissà per quale motivo, i nostri Quisling ascoltano il Treponema bruxellensis solo quando questo chiede di tassare iniquamente: mai quando chiede di pagare giustamente.
Ora, ci sono diverse considerazioni da fare, a margine di questo simpatico episodio.
La prima è stata svolta da Palombi, ed è la più pregnante in termini politici: è del tutto evidente che dietro una critica così esplicita e radicale delle "riforme" messe in atto dal Padre della Patria su richiesta del treponema ci deve essere una intenzionalità politica, che penso anch'io (come Palombi e Di Foggia congetturano) sia quella di mettere in guardia Bruxelles contro il grave rischio di instabilità politica che potrebbe conseguire dall'imposizione oggi di un simile piano di risanamento. Traduzione pratica: si vota a febbraio (la lue ci andrà con la mano leggera, Gentiloni farà la sua manovra che non concluderà nulla, poi arriverà Renzi alla riscossa... e magari farà un sorprendente - per gli altri - patto pecorino con gli ortotteri...).
Ma questa roba mi interessa tanto quanto. Le cose che vorrei farvi apprezzare sono altre.
Intanto, questo box di quel tesoro del Tesoro, che ci fa la carità (anonima, perché così deve essere la carità) di dire le cose come stanno, non aggiunge nulla a quanto sapevamo, ed è in effetti un autorevole (...) QED di quanto ci eravamo permessi di dimostrare anni addietro col modello di a/simmetrie (ora pubblicato su rivista peer reviewed con nome cognome e indirizzo degli autori: male non fare, paura non avere, converse is true). Le politiche di austerità sarebbero state controproducenti: in recessione non ci si deve proporre di ridurre il rapporto debito/Pil ma di stabilizzarlo (come affermato qui in Italia fra gli altri da Realfonzo), e questa stabilizzazione, siccome deve agire non solo sul numeratore (debito), ma anche sul denominatore (Pil), richiede in particolare un aumento, anziché una diminuzione della spesa pubblica, soprattutto quando questo rapporto eccede il 100%. Il motivo è alla portata di qualsiasi imbecille (tranne i tanti pagati per non capirlo in giro nelle redazioni): quando il rapporto debito/Pil è maggiore di uno, anche laddove la riduzione di Pil conseguente a quella della spesa fosse uno a uno (un euro di Pil in meno per ogni euro di taglio di spesa), il rapporto aumenterebbe comunque, per i motivi da noi illustrati qui. Suggerimento: 3/2 è maggiore di 4/3. Se non ci credete (o siete iscritti all'ordine dei giornalisti), una calcolatrice vi aiuterà. Sottrarre uno sopra e sotto fa aumentare il rapporto, e questo è quello che succede al rapporto debito/Pil quando si fa austerità con un moltiplicatore pari a uno.
Se poi consideriamo che in un modello keynesiano standard il moltiplicatore è maggiore di uno (nel modello di a/simmetrie è vicino a 1.8 in condizioni recessive, valore che sembrava elevato a Francesco Lippi semplicemente perché ignorava la letteratura rilevante, da Candelon e Lieb in giù...), capite che, nei termini stilizzati che vi ho proposto, da 4/3 si passa direttamente a 3/1 (che sarebbe 3).
Non è quindi strano che il nostro modello, dove il moltiplicatore è maggiore di 1.5, valutando cosa sarebbe successo se si fosse tentato di stabilizzare il rapporto debito/Pil, anziché di diminuirlo, giungeva alla conclusione che in questo modo si sarebbe evitata una perdita di Pil quantificabile in 127 miliardi di Pil in due anni. Cifra non così lontana dai 97 miliardi risultanto dagli scenari di quel tesoro del Tesoro. La differenza può essere spiegata dal fatto che il Tesoro confronta lo scenario "pessimale" (le politiche di Monti) con uno scenario "business as usual" (cioè valutano il danno di quello che si è fatto rispetto a cosa sarebbe successo non facendo nulla), mentre noi valutavamo lo scenario "pessimale" confrontandolo con quello ottimale (cioè cosa sarebbe successo se si fosse operato per stabilizzare il rapporto debito/Pil). La differenza sono 30 miliardi nel primo biennio, che alla fine ci sta: come dire che un modello veterokeynesiano, di quel tipo così tanto disprezzato dagli ignoranti, alla fine dice esattamente le stesse cose che quegli esercizietti da ingengngnieri falliti che vanno sotto il nome di DSGE sono costretti a dire, perché se i dati dicono una certa cosa, alla fine con quale modello li interroghi non conta, purché tu sia intellettualmente onesto (il problema è sempre e solo questo, come ormai sapete avendo visto innumerevoli esempi).
L'unica differenza fra il modello veterokeynesiano che "nella letteratura accademica non si usa più" (lo farò presente all'editor di Economic Modelling) e i modelli dei poracci che avrebbero voluto essere astrofisici ma non erano abbastanza portati per la matematica, è che il primo dice le cose mediamente con tre anni di anticipo, come vi sto dimostrando, il che poi significa che gli altri sono ritardati: arrivano con tre anni di ritardo...
Ora, c'è una cosa da apprezzare in questo QED. Certo, in termini giornalistici (e anche in termini fattuali) è interessante sottolineare l'enormità della perdita che Monti ci ha inflitto (i famosi 300 miliardi). Ma in termini scientifici, intellettuali, ci sono cose più stuzzicanti da rilevare.
La prima ve l'ho detta: alla fine, i "neoclassici" (quelli che Keynes chiamava i "ricardiani") sono costretti dalla violenza dei fatti a dire cose keynesiane, a pena di irrilevanza scientifica (e anche politica). Dopo sette anni di crisi, chi dice che il cielo è verde lo fa a suo rischio e pericolo, il primo rischio essendo il più grave in un società così attenta alla reputazione e alla credibilità: il rischio del ridicolo (e direi che in questo caso il rischio si è convertito in certezza). Per tutelare la propria inesistente credibilità, gli "scienziati" sono costretti a ricorrere ad artifici retorici parenti stretti della scoperta dell'acqua calda ("in una crisi bancaria le banche sono in crisi"), che presentano come assolute e pregnanti novità, magari infiocchettandole con un po' di inglese (fainancial fricscion...), per occultare sotto questo fumogeno il fatto che le conseguenze delle politiche scellerate prese dalle istituzioni cui appartengono erano ampiamente prevedibili e previste (questo blog ne è la prova). Come ho già avuto modo di dire, "what have we learned from the crisis" is the new "ho solo eseguito gli ordini". Da questa crisi gli economisti post-keynesiani non hanno imparato nulla che non sapessero già, e lo stesso vale per i pre-keynesiani (da Alesina in giù: praticamente tutti). Questi ultimi, però, devono far finta di aver scoperto cose che non sapevano, per pulirsi la coscienza dalla responsabilità politica delle scelte "tecniche" che hanno direttamente consigliato o indirettamente appoggiato.
La seconda è che anche se i numeri dello scenario "con frizioni" sono impressionanti, quelli dello scenario "senza frizioni" non lo sono meno. Attestare una perdita cumulata di 100 miliardi (99.4) in un quadriennio significa affermare una sola e unica cosa: che l'austerità espansiva è una colossale scemenza, smentita dai dati. Agli ignoranti che oggi consigliano di ridurre il debit pubblico aumentando il surplus di bilancio (magari con una bella patrimoniale), ricordiamo che non solo il nostro debito pubblico è sostenibile, ma anche che oltre all'esperienza, e alla scienza, oggi perfino la politica, con il boxetto gesuitico e tardo di cui ci stiamo occupando, certifica che l'austerità è self defeating. Lo dice così, in inglese, per non dirlo in italiano, cioè per non dire che per diminuire il rapporto debito/Pil bisogna aumentare, non diminuire la spesa pubblica. Questo chi non è ignorante lo sa, e chi è ignorante farà meglio a leggersi in fretta (e in ginocchio sui ceci) la letteratura scientifica più recente (pubblicata su Topolino, ovviamente: tutte idee strampalate di un oscuro accademico di provincia)...
Cosa c'entra in tutto questo il dottor Barbieri Hermitte? Direi ben poco, perché il disastro non l'ha fatto lui, e anche perché non era suo lavoro occuparsi di astrusa letteratura accademica, mentre esplorare le implicazioni pratiche di questa letteratura, cioè fare il lavoro che facciamo qui, sarebbe stato, e tuttora sarebbe, il lavoro degli economisti del Tesoro (chi?).
Credo che oltre che elegante sia anche persona spiritosa (alla fine, in un mondo così paradossale esserlo conviene, e credo che lui di convenienza se ne intenda: vedi alla voce esperienza dei mercati finanziari...). Apprezzerà quindi se dico che, mentre uno sbigottito Palombi mi riferiva del simpatico box incitandomi a commentarlo (lui, che mi imputa di avere un atteggiamento troppo "ginnico" nei riguardi della realtà, ma paradossalmente era così smanioso di commentare un documento che io programmaticamente mi ero rifiutato di prendere in considerazione: a che pro indugiare sulla produzione legislativa di un governo colonizzato? Non basta forse aver descritto in anticipo le intenzioni del governo colonizzatore?...), mentre uno sbigottito Palombi mi parlava del "box a pagina 17", e io in debito d'ossigeno arrancavo verso quota 2285, improvvisamente emergeva dalle profondità del mio sconforto la plastica immagine del dottor Barbieri Hermitte senza cravatta, in tuta oversize, proprio quella di Alfredo, patacca per patacca, che in un greve dialetto romanesco, invece dell'italiano assolutamente corretto e affilato che gli conosco, mi apostrofava con le parole che tante volte erano suonate all'orecchio di mio padre come una condanna a morte: "Dottò, sò 'e frizzioni. Che glielo dico a ffà? Come 'e tocco so ssordi. Solo pè aprilla fanno trecento mijardi...".
E così, fra un ministro che sparecchiava con la gonna in capo mentre la sechiular staghgnieiscion faceva "i su homodi", e un chief economist che smonta le fainanscial fricscion in tuta da meccanico, il nostro paese va in malora, e le nostre case verranno espropriate (perché imporre una patrimoniale a chi non ha reddito significa di fatto espropriargli il cespite su cui insiste l'imposta), per trasformarci in un popolo di nomadi più "fluidi" e ricattabili di chi ha un ubi consistam (paradossale conseguenza di una crisi che nasce perché il governo degli Stati Uniti voleva mettere un tetto sopra la testa di ogni cittadino), e per somministrare, coi nostri soldi, una cura palliativa al vero malato d'Europa, del quale oggi non si parla più, perché è stato deciso con quali soldi salvarlo: coi vostri.
Ovviamente non basterà, e alla fine si arriverà alle armi (tutto il gran parlare di eserciti che si fa in questi giorni serve solo a prepararvi all'inevitabile - che poi, proprio perché inevitabile, è una cosa alla quale in fondo arrivare preparati non è che conti così tanto...). It must be war: sono parole di Keynes, cioè parole vere.
Ma voi, che mi leggete di questo eravate già informati. A gennaio dissi che avrei passato l'anno a dire "ve l'avevo detto" (hashtag: #vlad), e così sta accadendo.
Triste soddisfazione...
(...che rima con "si apra la discussione...")
(...ogni tanto, quando vado a trovare i miei, cioè ogni tantissimo, vedo Alfredo: sta ancora lì, inossidabile. Saranno passati trent'anni. Non c'è che dire: "dottò sossòrdi" è una frase che allunga la vita, oltre al conto in banca...)
L’economia esiste perché esiste lo scambio, ogni scambio presuppone l’esistenza di due parti, con interessi contrapposti: l’acquirente vuole spendere di meno, il venditore vuole guadagnare di più. Molte analisi dimenticano questo dato essenziale. Per contribuire a una lettura più equilibrata della realtà abbiamo aperto questo blog, ispirato al noto pensiero di Pippo: “è strano come una discesa vista dal basso somigli a una salita”. Una verità semplice, ma dalle applicazioni non banali...
Visualizzazione post con etichetta moltiplicatore. Mostra tutti i post
Visualizzazione post con etichetta moltiplicatore. Mostra tutti i post
giovedì 1 giugno 2017
domenica 12 giugno 2016
Brexit: qualche cifra
Il dibattito sulla Brexit sta prendendo toni inquietanti, tali da lasciare nell'ombra i risvolti economici, che qui, come più in generale nel caso del progetto europeo, rappresentano l'aspetto più banale del problema (anche se, per una illusione ottica dettata dal loro carattere "tecnico", sono quelli che catturano maggiormente l'attenzione).
A me sembra che nessuno abbia sottolineato abbastanza qual è la radice del problema, da noi evidenziata qui, ovvero il fatto che assistiamo al miserando spettacolo di massimi responsabili delle istituzioni europee, che in quanto tali dovrebbero essere garanti del rispetto dei Trattati europei, i quali invece minacciano apertamente e con toni inaccettabili ritorsioni verso un paese che intende avvalersi di un diritto (quello di recesso) che gli stessi Trattati prevedono.
Chi non capisce quanto questo sia assurdo è difficile che capisca qualcos'altro.
Ripeto: chi dovrebbe garantire il rispetto dei Trattati minaccia chi intende esercitare un diritto previsto dai Trattati. Se l'andazzo è questo, ditemi voi cosa ci possiamo aspettare da questa unione!
Eppure, molti opinionisti (pagati per non capire) e molti studiosi (che generalmente non capiscono gratis) ancora non ci arrivano. Ieri ho avuto l'onore di partecipare a una tavola rotonda con due studiosi di livello infinitamente superiore al mio: Marti Subrahmanyam, professore di finanza internazionale alla Stern School of Business (quella da dove viene un altro tipo di passaggio), e Joshua Aizenman, della University of Southern California, con un curriculum accademico impressionante: 212 working papers, 158 articoli su rivista scientifica, top 5% secondo 38 criteri bibliometrici, un h-index pari a 55 con 11572 citazioni su Google Scholar. Se lo valutiamo a peso di riviste, valgo meno di un decimo di lui, gli arrivo a malapena al malleolo. Eppure, dopo un primo giro nel quale, sotto la direzione ferma e efficiente di Francesco Nucci, io avevo espresso l'opinione che forse potevamo anche smettere di parlare di euro, progetto morto e sepolto, e darci da fare per pensare al dopo (opinione che scaturiva dal mio intervento, del quale vi parlerò in separata sede), Subrahmanyam ha detto che sì, lui avrebbe voluto essere più ottimista, forse perché si trovava in una città che ama (Roma), ma sinceramente non avrebbe saputo quali dati portare a supporto della sua intenzione, mentre Aizenman ha cominciato a dire che la fine dell'euro sarebbe la fine dell'Europa, e che quindi noi dovremmo esortare (o minacciare, o invitare) la Germania a capire che questo non sarebbe nel suo interesse eccetera eccetera. Cose che qui sentivamo dire quattro anni fa da colleghi che nel frattempo, capito l'andazzo, hanno smesso.
Io ho fatto notare, con molta delicatezza, che siamo sempre allo stesso punto: una unione nella quale devi minacciare gli altri affinché cooperino con te non ha molto senso in termini politici. Qui non solo manca un obiettivo comune: manca una volontà comune, e manca un terreno sul quale confrontarsi, visto che le istituzioni europee non solo sono particolarmente discutibili (in termini di violazione del principio di separazione dei poteri, in termini di rappresentatività democratica), ma addirittura intervengono in aperto spregio dei Trattati per sovvertirne lo spirito e la lettera!
Ma questo ad Aizenman, sepolto dalla valanga delle 360 pubblicazioni prodotte, evidentemente sfuggiva...
E allora parliamo di Brexit, facendo finta che valga la pena di parlarne. Il dato che molti hanno messo in evidenza, e che qui vorrei elaborare un minimo con voi, è che la minaccia di ritorsioni nei riguardi del Regno Unito non ha alcun senso, per il semplice motivo che è il Regno Unito, strutturalmente, a sostenere con la sua domanda di beni il resto dell'Unione Europea, e non il contrario. In effetti, il Regno Unito è un importatore netto di beni del resto del mondo, Unione Europea compresa, il che significa, d'altro canto, che l'Unione Europea nel suo complesso è una esportatrice netta di beni nei riguardi del Regno Unito.
Capite quindi bene che è del tutto assurdo pensare che se il Regno Unito uscisse, l'Unione Europea troverebbe una convenienza economica (sottolineo: economica) nel "punirlo".
Per dirla all'uomo della strada, sarebbe come se il pizzicagnolo sotto casa mi impedisse di entrare nel suo negozio, cioè di essere suo cliente, cioè di dargli (non prendergli: dargli) i miei soldi, perché una volta mi ha visto passare davanti alla sua vetrina con la busta del supermercato! Vi assicuro che i commercianti non ragionano così: nella mia strada ne son rimasti pochi (perché la grande distribuzione si è infiltrata molto bene anche in centro), ma se avessero deciso di "punire" i clienti dei supermercati adesso sarebbero ancora di meno.
In termini più aulici, l'imposizione di dazi è sì prevista dalle norme del WTO, ma occorre che ci sia un motivo. Sarebbe piuttosto strano che a un paese esportatore (che quindi trae vantaggio dal commercio internazionale) venisse consentito di imporre dazi ritorsivi a un partner! Eventualmente, sarebbe l'importatore a doversi difendere con dazi. Ma nel mondo in cui chi difende i Trattati li stampa con la stampante della Merkel, è evidente che i media possono farci digerire qualsiasi assurdità.
Comunque, qualche numero...
Qui vedete l'evoluzione del saldo commerciale (trade balance) inglese, mettendo insieme il totale, e le sue due componenti: quella verso l'UE a 28, e quella extra-UE (i dati vengono da qui):
La sintesi è che ad oggi il Regno Unito è importatore netto di beni dell'Unione Europea per oltre 100 miliardi di euro all'anno. Supponiamo allora che i gegni di Bruxelles decidano di troncare ogni e qualsiasi rapporto col Regno Unito in caso di Brexit (ipotesi già assurda di per sé, perché non si vede come potrebbero impedire a me di bermi un whisky, o a un inglese di comprarsi un vestito di Armani: ma passons...). In termini puramente macroeconomici sarebbe un bagno di sangue per noi, non per loro: vorrebbe dire rinunciare a 118 miliardi di esportazioni nette. Per capirci, il Pil dell'Eurozona a 28 è pari a 14.635 miliardi, e quello del Regno Unito è pari a 2.658 miliardi, per cui il Pil dell'Eurozona senza Regno Unito è pari a 11.977 miliardi. La perdita secca di domanda aggregata per l'Unione Europea sarebbe quindi pari a 118/11.977 = 0.98%. Questo, però, senza tener conto di un dettaglio che sfugge ai grandi economisti: il moltiplicatore keynesiano. Nel 2003 calcolammo con Francesco Carlucci il moltiplicatore keynesiano per l'economia dell'Unione Europea, facendo anche una cosa che i grandi economisti generalmente non fanno, cioè calcolando l'incertezza associata al moltiplicatore:
I numeri sono questi, calcolati come di consueto simulando uno shock negativo dell'1% all'altra componente esogena della domanda (la spesa pubblica). Dopo cinque anni, un taglio di domanda dell'1% riduce il PIL dell'1,62%, con una deviazione standard di 0.11, il che significa che nel 95% dei casi l'effetto cadrà dentro una forchetta che va dall'1,4% all'1,84%. Siccome la legge di Murphy esiste, e se qualcosa può andar male lo farà, questo significa che punire il Regno Unito, escludendolo dai propri partner commerciali, potrebbe costare nel medio periodo al resto dell'Unione Europea una cosa tipo lo 0,98 x 1,84 = 1,8% del suo PIL, con un impatto di circa 1% nel primo anno (nel quale quindi la sedicente Europa, cioè l'Unione Europea, perderebbe un punto secco di crescita economica).
Come si dice, ablarsi i testicoli per contrariare la consorte. Vi sembra ragionevole? A meno che non siate tedeschi, credo proprio di no.
Naturalmente questi calcoli sono meramente indicativi, per diversi motivi, uno dei quali è che nelle stime del nostro modello consideravamo l'Unione Europea compreso il Regno Unito: può darsi benissimo che la risposta dell'Unione Europea senza Regno Unito sia lievemente diversa (ma che il moltiplicatore keynesiano sia un po' dappertutto pari a circa 1,5 mi pare stia emergendo dalla letteratura, ed è quello che in fondo tutti sapevano, tranne chi aveva interesse a ignorarlo, perché da buon garzone di bottega doveva riscuotere i sospesi, come abbiamo dettagliato qui). Esiste poi una letteratura ampia sul fatto che diverse componenti di domanda hanno moltiplicatori diversi (il moltiplicatore di un aumento di imposte è diverso da quello di un taglio di spesa, che a sua volta potrebbe essere diverso da quello di un taglio esogeno delle esportazioni): benvenuti nel meraviglioso mondo dello zero virgola, che non cambia la sostanza di quanto vi sto dicendo, ovvero che imporre sanzioni alla perfida Albione, secondo una consolidata tradizione delle democrazie continentali europee, non solo sarebbe impossibile, ma anche controproducente, perché alla fine ci rimetteremmo noi.
Per dirla come la direbbe un giornalista, che resta pur sempre il miglior amico dell'uomo che vuole informarsi, nella peggiore delle ipotesi ci andremmo a perdere quasi il 2% del PIL, cioè 215 miliardi di euro (al sesto anno), pari a, udite udite, ben 484,69 euro a cranio nel resto dell'UE a 28. Questo, attenzione, in un solo anno, quello di perdita massima. La perdita cumulata sull'orizzonte di un decennio potrebbe avvicinarsi ai 7000 euro, ma il calcolo non ve lo faccio perché è inutile perder tempo dietro a un'idea assurda, e perché devo cambiarmi per andare a TgCom24, dove dovrò, ostentando grande professionalità, parlare di una situazione che, una volta di più, si presenta come grave, ma non seria...
A me sembra che nessuno abbia sottolineato abbastanza qual è la radice del problema, da noi evidenziata qui, ovvero il fatto che assistiamo al miserando spettacolo di massimi responsabili delle istituzioni europee, che in quanto tali dovrebbero essere garanti del rispetto dei Trattati europei, i quali invece minacciano apertamente e con toni inaccettabili ritorsioni verso un paese che intende avvalersi di un diritto (quello di recesso) che gli stessi Trattati prevedono.
Chi non capisce quanto questo sia assurdo è difficile che capisca qualcos'altro.
Ripeto: chi dovrebbe garantire il rispetto dei Trattati minaccia chi intende esercitare un diritto previsto dai Trattati. Se l'andazzo è questo, ditemi voi cosa ci possiamo aspettare da questa unione!
Eppure, molti opinionisti (pagati per non capire) e molti studiosi (che generalmente non capiscono gratis) ancora non ci arrivano. Ieri ho avuto l'onore di partecipare a una tavola rotonda con due studiosi di livello infinitamente superiore al mio: Marti Subrahmanyam, professore di finanza internazionale alla Stern School of Business (quella da dove viene un altro tipo di passaggio), e Joshua Aizenman, della University of Southern California, con un curriculum accademico impressionante: 212 working papers, 158 articoli su rivista scientifica, top 5% secondo 38 criteri bibliometrici, un h-index pari a 55 con 11572 citazioni su Google Scholar. Se lo valutiamo a peso di riviste, valgo meno di un decimo di lui, gli arrivo a malapena al malleolo. Eppure, dopo un primo giro nel quale, sotto la direzione ferma e efficiente di Francesco Nucci, io avevo espresso l'opinione che forse potevamo anche smettere di parlare di euro, progetto morto e sepolto, e darci da fare per pensare al dopo (opinione che scaturiva dal mio intervento, del quale vi parlerò in separata sede), Subrahmanyam ha detto che sì, lui avrebbe voluto essere più ottimista, forse perché si trovava in una città che ama (Roma), ma sinceramente non avrebbe saputo quali dati portare a supporto della sua intenzione, mentre Aizenman ha cominciato a dire che la fine dell'euro sarebbe la fine dell'Europa, e che quindi noi dovremmo esortare (o minacciare, o invitare) la Germania a capire che questo non sarebbe nel suo interesse eccetera eccetera. Cose che qui sentivamo dire quattro anni fa da colleghi che nel frattempo, capito l'andazzo, hanno smesso.
Io ho fatto notare, con molta delicatezza, che siamo sempre allo stesso punto: una unione nella quale devi minacciare gli altri affinché cooperino con te non ha molto senso in termini politici. Qui non solo manca un obiettivo comune: manca una volontà comune, e manca un terreno sul quale confrontarsi, visto che le istituzioni europee non solo sono particolarmente discutibili (in termini di violazione del principio di separazione dei poteri, in termini di rappresentatività democratica), ma addirittura intervengono in aperto spregio dei Trattati per sovvertirne lo spirito e la lettera!
Ma questo ad Aizenman, sepolto dalla valanga delle 360 pubblicazioni prodotte, evidentemente sfuggiva...
E allora parliamo di Brexit, facendo finta che valga la pena di parlarne. Il dato che molti hanno messo in evidenza, e che qui vorrei elaborare un minimo con voi, è che la minaccia di ritorsioni nei riguardi del Regno Unito non ha alcun senso, per il semplice motivo che è il Regno Unito, strutturalmente, a sostenere con la sua domanda di beni il resto dell'Unione Europea, e non il contrario. In effetti, il Regno Unito è un importatore netto di beni del resto del mondo, Unione Europea compresa, il che significa, d'altro canto, che l'Unione Europea nel suo complesso è una esportatrice netta di beni nei riguardi del Regno Unito.
Capite quindi bene che è del tutto assurdo pensare che se il Regno Unito uscisse, l'Unione Europea troverebbe una convenienza economica (sottolineo: economica) nel "punirlo".
Per dirla all'uomo della strada, sarebbe come se il pizzicagnolo sotto casa mi impedisse di entrare nel suo negozio, cioè di essere suo cliente, cioè di dargli (non prendergli: dargli) i miei soldi, perché una volta mi ha visto passare davanti alla sua vetrina con la busta del supermercato! Vi assicuro che i commercianti non ragionano così: nella mia strada ne son rimasti pochi (perché la grande distribuzione si è infiltrata molto bene anche in centro), ma se avessero deciso di "punire" i clienti dei supermercati adesso sarebbero ancora di meno.
In termini più aulici, l'imposizione di dazi è sì prevista dalle norme del WTO, ma occorre che ci sia un motivo. Sarebbe piuttosto strano che a un paese esportatore (che quindi trae vantaggio dal commercio internazionale) venisse consentito di imporre dazi ritorsivi a un partner! Eventualmente, sarebbe l'importatore a doversi difendere con dazi. Ma nel mondo in cui chi difende i Trattati li stampa con la stampante della Merkel, è evidente che i media possono farci digerire qualsiasi assurdità.
Comunque, qualche numero...
Qui vedete l'evoluzione del saldo commerciale (trade balance) inglese, mettendo insieme il totale, e le sue due componenti: quella verso l'UE a 28, e quella extra-UE (i dati vengono da qui):
La sintesi è che ad oggi il Regno Unito è importatore netto di beni dell'Unione Europea per oltre 100 miliardi di euro all'anno. Supponiamo allora che i gegni di Bruxelles decidano di troncare ogni e qualsiasi rapporto col Regno Unito in caso di Brexit (ipotesi già assurda di per sé, perché non si vede come potrebbero impedire a me di bermi un whisky, o a un inglese di comprarsi un vestito di Armani: ma passons...). In termini puramente macroeconomici sarebbe un bagno di sangue per noi, non per loro: vorrebbe dire rinunciare a 118 miliardi di esportazioni nette. Per capirci, il Pil dell'Eurozona a 28 è pari a 14.635 miliardi, e quello del Regno Unito è pari a 2.658 miliardi, per cui il Pil dell'Eurozona senza Regno Unito è pari a 11.977 miliardi. La perdita secca di domanda aggregata per l'Unione Europea sarebbe quindi pari a 118/11.977 = 0.98%. Questo, però, senza tener conto di un dettaglio che sfugge ai grandi economisti: il moltiplicatore keynesiano. Nel 2003 calcolammo con Francesco Carlucci il moltiplicatore keynesiano per l'economia dell'Unione Europea, facendo anche una cosa che i grandi economisti generalmente non fanno, cioè calcolando l'incertezza associata al moltiplicatore:
I numeri sono questi, calcolati come di consueto simulando uno shock negativo dell'1% all'altra componente esogena della domanda (la spesa pubblica). Dopo cinque anni, un taglio di domanda dell'1% riduce il PIL dell'1,62%, con una deviazione standard di 0.11, il che significa che nel 95% dei casi l'effetto cadrà dentro una forchetta che va dall'1,4% all'1,84%. Siccome la legge di Murphy esiste, e se qualcosa può andar male lo farà, questo significa che punire il Regno Unito, escludendolo dai propri partner commerciali, potrebbe costare nel medio periodo al resto dell'Unione Europea una cosa tipo lo 0,98 x 1,84 = 1,8% del suo PIL, con un impatto di circa 1% nel primo anno (nel quale quindi la sedicente Europa, cioè l'Unione Europea, perderebbe un punto secco di crescita economica).
Come si dice, ablarsi i testicoli per contrariare la consorte. Vi sembra ragionevole? A meno che non siate tedeschi, credo proprio di no.
Naturalmente questi calcoli sono meramente indicativi, per diversi motivi, uno dei quali è che nelle stime del nostro modello consideravamo l'Unione Europea compreso il Regno Unito: può darsi benissimo che la risposta dell'Unione Europea senza Regno Unito sia lievemente diversa (ma che il moltiplicatore keynesiano sia un po' dappertutto pari a circa 1,5 mi pare stia emergendo dalla letteratura, ed è quello che in fondo tutti sapevano, tranne chi aveva interesse a ignorarlo, perché da buon garzone di bottega doveva riscuotere i sospesi, come abbiamo dettagliato qui). Esiste poi una letteratura ampia sul fatto che diverse componenti di domanda hanno moltiplicatori diversi (il moltiplicatore di un aumento di imposte è diverso da quello di un taglio di spesa, che a sua volta potrebbe essere diverso da quello di un taglio esogeno delle esportazioni): benvenuti nel meraviglioso mondo dello zero virgola, che non cambia la sostanza di quanto vi sto dicendo, ovvero che imporre sanzioni alla perfida Albione, secondo una consolidata tradizione delle democrazie continentali europee, non solo sarebbe impossibile, ma anche controproducente, perché alla fine ci rimetteremmo noi.
Per dirla come la direbbe un giornalista, che resta pur sempre il miglior amico dell'uomo che vuole informarsi, nella peggiore delle ipotesi ci andremmo a perdere quasi il 2% del PIL, cioè 215 miliardi di euro (al sesto anno), pari a, udite udite, ben 484,69 euro a cranio nel resto dell'UE a 28. Questo, attenzione, in un solo anno, quello di perdita massima. La perdita cumulata sull'orizzonte di un decennio potrebbe avvicinarsi ai 7000 euro, ma il calcolo non ve lo faccio perché è inutile perder tempo dietro a un'idea assurda, e perché devo cambiarmi per andare a TgCom24, dove dovrò, ostentando grande professionalità, parlare di una situazione che, una volta di più, si presenta come grave, ma non seria...
mercoledì 2 dicembre 2015
Bagnai leghistaaaaa! (sul conflitto di interessi degli economisti, l'unione bancaria, ecc.)
Qui.
Come vedete, in questa trasmissione posso argomentare, e forse sono ascoltato. Dovrei non andarci, perché altrimenti Marta Fana si adonta? La logica degli sbilifestini è la stessa dei "bocconiani": "Non conta cosa dici, ma dove lo dici, e qualsiasi cosa tu dica è giusta solo se la dici da noi!" In uno snodo storico nel quale è essenziale una rivoluzione culturale, un cambio di paradigma, chi usa la stessa logica sta dalla stessa parte. E infatti: uniti e compatti nel biasimo dell'austerità (dal 7 settembre) e nella difesa dell'euro (da sempre).
Quando la storia avrà tirato la sua linea, vedremo chi sarà sommerso e chi salvato. Io avrò parlato a tutti (vedi post precedente) e quindi non avrò niente da rimproverarmi. Quello che fa Marco Pinti a Radio Padania potrebbero, e secondo me, dovrebbero farlo gli utili perbenisti di Radio Popolare, così squallidi nel loro "politicamente corretto". Ma loro preferiscono dar voce ai sicofanti del grande capitale internazionale. La mia pazienza ha un limite, e questo limite è stato raggiunto e superato. Questa gente ormai mi fa ribrezzo, e vi confesso che quando mi chiameranno (e saranno costretti a farlo), parlerò anche con loro (perché parlo con tutti), ma avrò difficoltà a nascondere lo schifo che mi fa chi ha assistito con empatia nulla a tante tragedie, trincerandosi dietro la patetica certezza della propria assolutamente inesistente superiorità intellettuale ed etica.
L'inerzia della "sinistra" ormai grida vendetta al cielo.
E il cielo non è sordo.
(...ah, naturalmente le cose che ho detto sono di destra, perché le ho dette a Radio Padania. Mi raccomando, non perdete di vista i valori veri...)
Come vedete, in questa trasmissione posso argomentare, e forse sono ascoltato. Dovrei non andarci, perché altrimenti Marta Fana si adonta? La logica degli sbilifestini è la stessa dei "bocconiani": "Non conta cosa dici, ma dove lo dici, e qualsiasi cosa tu dica è giusta solo se la dici da noi!" In uno snodo storico nel quale è essenziale una rivoluzione culturale, un cambio di paradigma, chi usa la stessa logica sta dalla stessa parte. E infatti: uniti e compatti nel biasimo dell'austerità (dal 7 settembre) e nella difesa dell'euro (da sempre).
Quando la storia avrà tirato la sua linea, vedremo chi sarà sommerso e chi salvato. Io avrò parlato a tutti (vedi post precedente) e quindi non avrò niente da rimproverarmi. Quello che fa Marco Pinti a Radio Padania potrebbero, e secondo me, dovrebbero farlo gli utili perbenisti di Radio Popolare, così squallidi nel loro "politicamente corretto". Ma loro preferiscono dar voce ai sicofanti del grande capitale internazionale. La mia pazienza ha un limite, e questo limite è stato raggiunto e superato. Questa gente ormai mi fa ribrezzo, e vi confesso che quando mi chiameranno (e saranno costretti a farlo), parlerò anche con loro (perché parlo con tutti), ma avrò difficoltà a nascondere lo schifo che mi fa chi ha assistito con empatia nulla a tante tragedie, trincerandosi dietro la patetica certezza della propria assolutamente inesistente superiorità intellettuale ed etica.
L'inerzia della "sinistra" ormai grida vendetta al cielo.
E il cielo non è sordo.
(...ah, naturalmente le cose che ho detto sono di destra, perché le ho dette a Radio Padania. Mi raccomando, non perdete di vista i valori veri...)
mercoledì 1 aprile 2015
KPD8: l'IMF e il moltiplicatore della Grecia
(...lo volevate il post tecnico?)
Ma come sarà venuto in mente al Fondo Monetario Internazionale di ipotizzare per la Grecia un moltiplicatore di 0.5?
Quando lo hanno fatto? Tre anni or sono, nel definire il programma al quale la Grecia si doveva piegare per ottenere un'estensione dei finanziamenti del Fondo.
E perché questa ipotesi è assurda? Ne parliamo subito, ma prima vorrei ricordare a chi si fosse messo in ascolto in questo momento che una discussione tecnica di cosa sia il moltiplicatore si trova qui e nei precedenti numeri della serie KPD (Keynesianesimo Per le Dame: googlate e vi sarà aperto...).
In estrema sintesi, il moltiplicatore è un numero che esprime l'impatto che una manovra di spesa pubblica avrà sul Pil. Moltiplicatore di 0.5 significa che un aumento di spesa pubblica di un euro incrementa il Pil di 0.5 euro, e naturalmente (moltiplicando per meno uno), che una diminuzione di spesa pubblica di un euro decrementa il Pil di 0.5 euro.
I motivi politici della palese sottostima del moltiplicatore greco da parte del FMI sono quindi evidenti, e per voi non sono certo una sorpresa (e non sono certo io il primo a evidenziarli: sicuramente qualcun altro lo avrà fatto). Nel momento in cui il comitato d'affari dei creditori internazionali aveva bisogno di estrarre risorse dal popolo greco (aumentando imposte, diminuendo spese) per ripianare i problemi delle banche del Nord, era essenziale insufflare l'idea che questi tagli non avrebbero danneggiato "troppo" l'economia greca. Nota bene: che questa fosse una valutazione prettamente politica, volta a far accettare al governo greco misure estremamente pericolose (come poi i fatti hanno provato), e sostanzialmente errata dal punto di vista tecnico, il FMI ovviamente lo sapeva, e, come ogni buon operatore finanziario, nel momento in cui ti tira il pacco, lo aveva anche scritto nel "contratto", ma... in caratteri piccoli!
Non ci credete? E allora andate a p. 2 del documento che vi ho linkato. Ci troverete questo:
"Nel caso che il moltiplicatore fiscale sia più grande il risultato più probabile sarebbe una recessione maggiore e un rapporto debito/Pil più alto"... La dott.ssa Arcazzo andrebbe in estasi, leggendo questo disclaimer.
Chiaro, no? Come al solito, chi ci massacra non solo sa quello che sta facendo, ma ce lo dice anche (se pure in corpo 7). Il punto, spero lo afferriate, è che lo stesso FMI ci dice che l'ipotesi di considerare un moltiplicatore di 0.5 per valutare l'impatto del "programma" (e quindi per prevedere le future traiettorie del rapporto debito/PIL), non era un'ipotesi prudenziale, ma anzi era sbilanciata nel senso di fornire una valutazione eccessivamente ottimistica del programma stesso, cioè della riduzione del rapporto debito/PIL che l'austerità avrebbe provocato. E infatti, come ora tutti sappiamo, le valutazioni emesse all'epoca furono clamorosamente toppate. Il debito sarebbe dovuto andare al 167% del Pil nel 2013 per poi diminuire, e invece andò al 175% del Pil per poi restarci (l'ultima valutazione che ho per il 2014 è di 174%).
Ma... attenzione!
Non ci sono solo le cose scritte in caratteri piccoli!
Siccome loro sapevano che il "programma" avrebbe fallito rispetto agli obiettivi dichiarati, che cosa fecero, nella parte scritta in caratteri grandi? Semplice: diedero in anticipo la colpa alla vittima:
"Eh, certo, cari greci, che se l'austerità è incompleta, se non ne fate abbastanza, se non privatizzate abbastanze, se ritardate le riforme strutturali, il programma non funzionerà, ma la colpa mica è nostra - che usiamo un moltiplicatore visibilmente sottostimato! - ma vostra, che siete dei lazzaroni!"
Bello, vero? Eh, sono sempre i dettagli che fanno la delizia dell'intenditore, e voi che mi seguite ormai camminate in un giardino incantato, dove ogni recesso offre interminate scaturigini di diletto...
Ora voi direte: ma non potrebbero essersi sbagliati per motivi non politici? In fondo, chi lo sa quant'è il moltiplicatore greco?
Eh, qui appunto casca l'asinello...
Perché, insomma, voi mica crederete, come il nostro amico Michele, l'intenditore, che la Grecia sia un paese tutto feta e distintivo? Ha le sue università, la sua banca centrale, i suoi economisti, ai quali l'economia del loro paese interessa, e che quindi la studiano. Ne consegue che al tempo in cui i nostri amikoni del FMI emettevano la loro valutazione dichiaratamente non prudenziale e assolutamente scissa da qualsiasi analisi dei dati, esisteva un profluvio di letteratura più o meno aggiornata che forniva stime basate sui dati. Una piccola sintesi, dovuta all'alacre Christian, la trovate qui:
E allora, cosa si sapeva del moliplicatore fiscale in Grecia, all'epoca in cui il FMI lo stimava imprudenzialmente a 0.5? Si sapeva, dalla letteratura scientifica, che era mediamente tre volte tanto!
Chiaro adesso perché parlavo di ipotesi assurda?
Attenzione. Non tutti questi studi hanno passato una pirreviù, questo va detto (per i cretini). Non l'ha passata questo, ad esempio, ma questo sì, e se Papadimitriou (che poi sarebbe il coautore di Gennaro Zezza) è un pericoloso estremista postkeynesiano, Sideris e Zonzilos, per i quali il moltiplicatore è il triplo che per il FMI, sono funzionari della Banca nazionale. Nessun cherry picking: rossi, neri, gialli, verdi, quale che sia il loro colore, quali che siano i dati, quali che siano i metodi, quale che sia la data di pubblicazione, tutti questi studi dicono (cioè dicevano) che la stima del FMI era distorta al ribasso e quindi estremamente poco prudenziale.
Ci siamo?
E noi che diciamo? Be', noi diciamo questo:
cioè questo:
col nostro modello (in costruzione). Se ci fate caso, anche a noi i dati dicono quello che dicono ai colleghi (esclusi quelli profumatamente pagati dal FMI): il moltiplicatore oscilla fra 1.4 e 1.6 (nota che noi stiamo usando dati trimestrali non destagionalizzati, perché quelli destagionalizzati fanno pietà e misericordia, e quindi il moltiplicatore risente della variabilità stagionale). Se i dati dicono a tutti la stessa cosa, vuol dire che quella cosa non ci si riesce proprio a non fargliela dire...
Poi, se ho tempo, vi faccio vedere anche le elasticità sottostanti, entriamo nel tecnico, in modo tale che chi ritiene di divertirsi così possa divertirsi. Ma per concludere, mi permettete di richiamare la vostra attenzione su un dato evidente? La vita e la dignità di migliaia di nostri simili sono state schiacciate in base alla scelta di un numeretto che ad addetti ai lavori non poteva non sembrare palesemente assurdo. Nessuno studio empirico supportava una scelta simile, e anche quelli che la compirono, questa scelta, sapevano quanto fosse tendenziosa ed errata, tant'è vero che lo scrissero pure (non sia mai gli venisse fatto notare in seguito che erano stati poco scrupolosi), ma a caratteri piccolini.
Ecco.
E ora un piccolo sforzo di immaginazione...
Pensate alle madri separate dai figli, e poi pensate a quattro pirla che viaggiano a 15000 dollari al mese esentasse.
Il mondo è bello perché è vario.
(...ovviamente, se avete letto fra le righe, la buona notizia è che cominciano ad arrivare le domande giuste. Le risposte le danno i dati...)
Ma come sarà venuto in mente al Fondo Monetario Internazionale di ipotizzare per la Grecia un moltiplicatore di 0.5?
Quando lo hanno fatto? Tre anni or sono, nel definire il programma al quale la Grecia si doveva piegare per ottenere un'estensione dei finanziamenti del Fondo.
E perché questa ipotesi è assurda? Ne parliamo subito, ma prima vorrei ricordare a chi si fosse messo in ascolto in questo momento che una discussione tecnica di cosa sia il moltiplicatore si trova qui e nei precedenti numeri della serie KPD (Keynesianesimo Per le Dame: googlate e vi sarà aperto...).
In estrema sintesi, il moltiplicatore è un numero che esprime l'impatto che una manovra di spesa pubblica avrà sul Pil. Moltiplicatore di 0.5 significa che un aumento di spesa pubblica di un euro incrementa il Pil di 0.5 euro, e naturalmente (moltiplicando per meno uno), che una diminuzione di spesa pubblica di un euro decrementa il Pil di 0.5 euro.
I motivi politici della palese sottostima del moltiplicatore greco da parte del FMI sono quindi evidenti, e per voi non sono certo una sorpresa (e non sono certo io il primo a evidenziarli: sicuramente qualcun altro lo avrà fatto). Nel momento in cui il comitato d'affari dei creditori internazionali aveva bisogno di estrarre risorse dal popolo greco (aumentando imposte, diminuendo spese) per ripianare i problemi delle banche del Nord, era essenziale insufflare l'idea che questi tagli non avrebbero danneggiato "troppo" l'economia greca. Nota bene: che questa fosse una valutazione prettamente politica, volta a far accettare al governo greco misure estremamente pericolose (come poi i fatti hanno provato), e sostanzialmente errata dal punto di vista tecnico, il FMI ovviamente lo sapeva, e, come ogni buon operatore finanziario, nel momento in cui ti tira il pacco, lo aveva anche scritto nel "contratto", ma... in caratteri piccoli!
Non ci credete? E allora andate a p. 2 del documento che vi ho linkato. Ci troverete questo:
"Nel caso che il moltiplicatore fiscale sia più grande il risultato più probabile sarebbe una recessione maggiore e un rapporto debito/Pil più alto"... La dott.ssa Arcazzo andrebbe in estasi, leggendo questo disclaimer.
Chiaro, no? Come al solito, chi ci massacra non solo sa quello che sta facendo, ma ce lo dice anche (se pure in corpo 7). Il punto, spero lo afferriate, è che lo stesso FMI ci dice che l'ipotesi di considerare un moltiplicatore di 0.5 per valutare l'impatto del "programma" (e quindi per prevedere le future traiettorie del rapporto debito/PIL), non era un'ipotesi prudenziale, ma anzi era sbilanciata nel senso di fornire una valutazione eccessivamente ottimistica del programma stesso, cioè della riduzione del rapporto debito/PIL che l'austerità avrebbe provocato. E infatti, come ora tutti sappiamo, le valutazioni emesse all'epoca furono clamorosamente toppate. Il debito sarebbe dovuto andare al 167% del Pil nel 2013 per poi diminuire, e invece andò al 175% del Pil per poi restarci (l'ultima valutazione che ho per il 2014 è di 174%).
Ma... attenzione!
Non ci sono solo le cose scritte in caratteri piccoli!
Siccome loro sapevano che il "programma" avrebbe fallito rispetto agli obiettivi dichiarati, che cosa fecero, nella parte scritta in caratteri grandi? Semplice: diedero in anticipo la colpa alla vittima:
"Eh, certo, cari greci, che se l'austerità è incompleta, se non ne fate abbastanza, se non privatizzate abbastanze, se ritardate le riforme strutturali, il programma non funzionerà, ma la colpa mica è nostra - che usiamo un moltiplicatore visibilmente sottostimato! - ma vostra, che siete dei lazzaroni!"
Bello, vero? Eh, sono sempre i dettagli che fanno la delizia dell'intenditore, e voi che mi seguite ormai camminate in un giardino incantato, dove ogni recesso offre interminate scaturigini di diletto...
Ora voi direte: ma non potrebbero essersi sbagliati per motivi non politici? In fondo, chi lo sa quant'è il moltiplicatore greco?
Eh, qui appunto casca l'asinello...
Perché, insomma, voi mica crederete, come il nostro amico Michele, l'intenditore, che la Grecia sia un paese tutto feta e distintivo? Ha le sue università, la sua banca centrale, i suoi economisti, ai quali l'economia del loro paese interessa, e che quindi la studiano. Ne consegue che al tempo in cui i nostri amikoni del FMI emettevano la loro valutazione dichiaratamente non prudenziale e assolutamente scissa da qualsiasi analisi dei dati, esisteva un profluvio di letteratura più o meno aggiornata che forniva stime basate sui dati. Una piccola sintesi, dovuta all'alacre Christian, la trovate qui:
E allora, cosa si sapeva del moliplicatore fiscale in Grecia, all'epoca in cui il FMI lo stimava imprudenzialmente a 0.5? Si sapeva, dalla letteratura scientifica, che era mediamente tre volte tanto!
Chiaro adesso perché parlavo di ipotesi assurda?
Attenzione. Non tutti questi studi hanno passato una pirreviù, questo va detto (per i cretini). Non l'ha passata questo, ad esempio, ma questo sì, e se Papadimitriou (che poi sarebbe il coautore di Gennaro Zezza) è un pericoloso estremista postkeynesiano, Sideris e Zonzilos, per i quali il moltiplicatore è il triplo che per il FMI, sono funzionari della Banca nazionale. Nessun cherry picking: rossi, neri, gialli, verdi, quale che sia il loro colore, quali che siano i dati, quali che siano i metodi, quale che sia la data di pubblicazione, tutti questi studi dicono (cioè dicevano) che la stima del FMI era distorta al ribasso e quindi estremamente poco prudenziale.
Ci siamo?
E noi che diciamo? Be', noi diciamo questo:
cioè questo:
col nostro modello (in costruzione). Se ci fate caso, anche a noi i dati dicono quello che dicono ai colleghi (esclusi quelli profumatamente pagati dal FMI): il moltiplicatore oscilla fra 1.4 e 1.6 (nota che noi stiamo usando dati trimestrali non destagionalizzati, perché quelli destagionalizzati fanno pietà e misericordia, e quindi il moltiplicatore risente della variabilità stagionale). Se i dati dicono a tutti la stessa cosa, vuol dire che quella cosa non ci si riesce proprio a non fargliela dire...
Poi, se ho tempo, vi faccio vedere anche le elasticità sottostanti, entriamo nel tecnico, in modo tale che chi ritiene di divertirsi così possa divertirsi. Ma per concludere, mi permettete di richiamare la vostra attenzione su un dato evidente? La vita e la dignità di migliaia di nostri simili sono state schiacciate in base alla scelta di un numeretto che ad addetti ai lavori non poteva non sembrare palesemente assurdo. Nessuno studio empirico supportava una scelta simile, e anche quelli che la compirono, questa scelta, sapevano quanto fosse tendenziosa ed errata, tant'è vero che lo scrissero pure (non sia mai gli venisse fatto notare in seguito che erano stati poco scrupolosi), ma a caratteri piccolini.
Ecco.
E ora un piccolo sforzo di immaginazione...
Pensate alle madri separate dai figli, e poi pensate a quattro pirla che viaggiano a 15000 dollari al mese esentasse.
Il mondo è bello perché è vario.
(...ovviamente, se avete letto fra le righe, la buona notizia è che cominciano ad arrivare le domande giuste. Le risposte le danno i dati...)
giovedì 25 dicembre 2014
Il moltiplicatore del modello di a/simmetrie (KPD5)
(e come promesso su Twitter, mentre la mia Cosette scarta la sua ennesima bambola - non ci sono più le Thénardier di una volta - voi potete scartare er post tecnico. Ma proprio tecnico, eh! Come dice Frescobaldi, non senza fatica si giunge al fine. Ma chi ci giunge, per ricompensa, sarà più incazzato di prima...)
Chiuso il discorso del benza paper (ma poi ci torniamo, perché da quando abbiamo stimato l'equazione son cambiate tantissime cose, e sono curioso di vedere quale dei vari modelli approssima meglio l'andamento effettivo dei prezzi da maggio a oggi), pubblichiamo un nuovo post della serie KPD (Keynesianesimo per le dame), tornando a parlare del moltiplicatore keynesiano, questo sconosciuto...
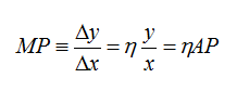
da cui consegue che la propensione marginale è il prodotto fra l'elasticità e la propensione media:
Ora, tutta questa robetta, mi rendo conto, è molto astratta, vista così, ma da essa dipende un fatto molto concreto, come vedremo poi sotto. Intanto, mettiamoci dei numeri, quelli dell'esempio sopra.
Se consideriamo le importazioni, vediamo che la MP a importare (che poi sarebbe m=0.4) è uguale al rapporto fra gli incrementi assoluti di importazioni e reddito (0.4/1=0.4), e che l'elasticità delle importazioni al reddito, che in questo caso poi sarebbe 1, è uguale sia al rapporto fra incrementi percentuali di importazioni e reddito (0.01/0.01=1) che al rapporto fra propensione marginale e media all'importazione (0.4/0.4=1), mentre la propensione marginale, a sua volta, è uguale all'elasticità delle importazioni al reddito per la propensione media a importare (1x0.4=0.4).
I conti tornano...
Oh, sentite, i post tecnici li volete voi, e io non posso sempre rompermi i coglioni con l'aritmetica! Qui, se volete andare avanti, bisogna studiare, e questi sono i compiti per le vacanze.
Ma....
E se invece volessimo una funzione con elasticità 2?
(perché le importazioni che elasticità hanno? Due! Bravi!)
Vediamo quest'altra tabbbella:
Qui ho considerato una diversa funzione delle importazioni: le importazioni aumentano con il quadrato del reddito, moltiplicato per 0.004. E che succede se la funzione delle importazioni ha questa forma arcana? Lo vediamo nell'ultima colonna!
Quando il reddito aumenta da 100 a 101, le importazioni aumentano da 40 a 40.8, cioè aumentano di 0.8. Guarda un po'! L'incremento assoluto delle importazioni è 0.8, quindi quello percentuale è del 2%, e siccome l'incremento percentuale del reddito è sempre dell'1%, ne consegue che l'elasticità è 2 (2.01 per problemi di arrotondamento), e tutti i nostri altri discorsi tornano.
1) la propensione marginale è uguale al rapporto fra gli incrementi assoluti (0.8/1 = 0.8), ma anche al prodotto fra elasticità e propensione media (0.4x2 = 0.8);
2) l'elasticità è uguale al rapporto fra incrementi percentuali (0.02/0.01=2), ma anche al rapporto fra propensione marginale e propensione media: 0.8/0.4=2.
Fico, no?
No?
Veramente non vi piace?
E allora come facciamo? Siamo in una crisi economica, e non mi andrete mai oltre ai ragli di Twitter?
No, dai, non è possibile: fate come i piddini! Anche se non vi piace, fate almeno finta che vi piaccia, perché se non squarciate il velo di Maya non arriverete mai al paradiso del #DAR, quello nel quale si aggirano le anime elette (IO) contemplando il dibattito economico italiano e internazionale.
Allora: vediamo un po' cosa abbiamo intuito (forse) finora: abbiamo intuito (ma non dimostrato) che in una relazione del tipo:
X = a Zb
l'elasticità è l'esponente della Z (della variabile a destra). In effetti, nella funzione delle importazioni
M = 0.4 Y
l'esponente della Y (della variabile a destra) era uno (non si vede, ma c'è, perché se non ci fosse Y sarebbe 1... Qualcuno l'ha capita?), e l'elasticità, calcolandola, veniva uno, mentre nella funzione:
M = 0.004 Y2
l'esponente della Y è due, e l'elasticità calcolata ci viene 2.
In effetti sì, siete maggiorenni, ed è ora che sappiate certe cose: nella modellistica economica le relazioni a elasticità costante vengono proprio rappresentate mediante funzioni del tipo:
X = a Zb
(dove l'elasticità, ovviamente, è b). Poi, per raggiungere l'apice del delirio, vi ricordo che i logaritmi ("C'è un medico in sala?"), dei quali abbiamo parlato qui, hanno la proprietà che chi è passato per la scuola dell'obbligo conosce, di trasformare il prodotto in somma e l'elevazione a potenza in prodotto, il che, in buona sostanza, significa, che in economia lavoriamo con la trasformata logaritmica della funzione che vi ho appena mostrato, cioè con:
ln(X) = ln(a) + b ln(Z)
Ad esempio, nel caso di
M = 0.004 Y2
la trasformata logaritmica sarebbe:
ln(M) = -5.52 + 2 ln(Y)
Bbbboni, state bboni...
Dunque, intanto se prendete il working paper del modello, vedrete che praticamente tutte le equazioni di lungo periodo stimate hanno questa forma.
Ad esempio, a pagina 97 trovate questa tabella arcana:
la quale vi informa del fatto che il logaritmo delle importazioni dalla core Eurozone, cioè la variabile LOG(MGUSDVB), dipende da una costante C uguale a -18.35 e da 2.119 moltiplicato per il logaritmo del Pil italiano LOG(GDPVUSD) (la tabella vi dà tante altre informazioni che per ora non vi interessano, ma intanto vorrei farvi capire che anche il nostro complicato modello è fatto di pezzi relativamente semplici come quello che vi ho appena descritto). Perché vi faccio vedere i risultati di queste stime? Intanto per cominciare a guidarvi nella loro interpretazione, e poi per farvi capire che una funzione delle importazioni del tipo M = 0.004 Y2 non è poi così arcana, non è un parto della mia fantasia perversa (sai che soldi col romanzo erotico?), ma è, banalmente, quello che si trova quando si mettono due dati in un computer e si spingono un paio di tasti.
Ora, attenzione, qui prendetevi un tè, una camomilla, una grappa, insomma, qualcosa, perché dobbiamo fare il passo determinante per farvi capire come mai in recessione non si deve mai fare austerità (ma proprio mai mai mai). Sì, lo so che lo sapete, che ve lo hanno detto, ma in realtà non lo sapete, non potete saperlo, è una cosa un pochino tecnica.
Mettiamola così: mi appello al vostro animo piazzaleloretista: voi non siete quelli che vogliono appendere tutti per i piedi? Ma mica si può appendere uno per i piedi solo perché porta il loden! Eh no, non sta bene, soprattutto a Natale! Se volete farlo, io non sono e non sarò d'accordo, ma almeno esigo che lo facciate a ragion veduta, dopo aver capito quanto era evidente a ogni economista (lui compreso) che quello che stava facendo ci avrebbe condotto al disastro!
(...voi direte che abbiamo la sua confessione, ma quella è venuta ex post: io vi voglio dimostrare con evidenza matematica che quello che sarebbe successo lo sapeva benissimo prima).
Sono riuscito a motivarvi? La vostra stolida e improduttiva sete di sangue è stimolo sufficiente per incitarvi a capire?
Bene, allora mettiamo insieme due pezzi del discorso:
1) abbiamo visto sopra che le dimensioni del moltiplicatore dipendono da quelle della propensione marginale all'importazione:
Più m è grande, più piccolo è il moltiplicatore.
2) abbiamo visto anche che la propensione marginale è il prodotto dell'elasticità per la propensione media:
Quindi (rullo di tamburi) se in un modello l'elasticità è costante, la propensione marginale cresce con la propensione media. Ma:
3) quando l'elasticità al Pil è maggiore di uno, la propensione media all'importazione cresce col Pil, e quindi la propensione marginale all'importazione cresce col Pil, e quindi il moltiplicatore cala al crescere Pil, e aumenta al diminuire del Pil.
Questa proprietà delle funzioni normalmente utilizzate per rappresentare la realtà macroeconomica (perché ne rispecchiano il funzionamento) ci garantisce che in tempi di recessione il moltiplicatore keynesiano sarà più grande che in tempi normali, e che quindi in recessione i tagli avranno un effetto amplificato sul Pil.
Ed ecco l'esempio numerico: riprendo esattamente l'ultima tabella, dove però, a causa della recessione, il valore di partenza del Pil considero sia 93 anziché 100 (è diminuito del 7%).
Allora: col Pil che vale 93, i consumi valgono 0.75x93=69.75, le importazioni valgono 34.60 (fate il conto voi), e notate: il rapporto fra consumi e Pil (la propensione media al consumo) è esattamente quello di prima (0.75), mentre il rapporto fra importazioni e Pil (la propensione media alle importazioni) è diminuito da 0.4 a 0.37. Questo, ovviamente, perché siccome l'elasticità è due, alla diminuzione del reddito (denominatore) è conseguita una diminuzione più che proporzionale delle importazioni (numeratore) e quindi il rapporto è diminuito.
Ormai siete dei professionisti, e quindi sapete da voi che la propensione marginale all'importazione, cioè m, non sarà più 0.8 come prima: possiamo calcolarla come prodotto fra l'elasticità (2) e la propensione media (0.37), e troviamo (arrotondando) 0.75. Oppure, se non ci fidiamo, incrementiamo il reddito di uno: i consumi passano a 70.50 (aumentano di 0.75), mentre le importazioni aumentano di 0.75 pure loro... E allora vedete che il rapporto fra incremento assoluto delle importazioni e incremento assoluto del reddito è pari appunto a 0.75, cioè quando il Pil è pari a 93 la propensione marginale alle importazioni casualmente scende fino a diventare pari a quella alle importazioni.
Ora occhio, guardate il moltiplicatore!
Nel caso in cui il Pil partiva da 100, avevamo:
(è riportato nella tabbbella, quella con tre b), mentre quando il Pil parte da 93 abbiamo:
cioè il moltiplicatore aumenta.
E questo cosa significa?
Be', ve la ricordate la storiella della Ruritania e della Cracozia? Nell'esempio che stiamo svolgendo, in condizioni di recessione stiamo proprio come la Ruritania: moltiplicatore pari a uno significa che un punto di spesa pubblica in meno fa calare di un punto sia il debito che il Pil, quindi se il debito è 6/5=120% del Pil, dopo diventa 5/4=125% del Pil.
In condizioni più floride le cose non andrebbero così male: una diminuzione di uno del numeratore (via tagli alla spesa e al deficit) farebbe diminuire il denominatore solo di 0.95, e quindi si andrebbe solo al 123%!
Va bene, questi sono numeri ovviamente dati a caso, ma avete capito il messaggio?
Le dimensioni del moltiplicatore aumentano nelle fasi di recessione, semplicemente per effetto della fisiologica non linearità della funzione delle importazioni (fatto stilizzato universalmente riconosciuto in letteratura), che comporta che in condizioni recessive le "dispersioni" di reddito verso l'estero calino in modo più che proporzionale (m diminuisce), e quindi la spesa pubblica attivi un reddito proporzionalmente maggiore all'interno del paese. Nel modello di a/simmetrie il moltiplicatore è 1.5 in condizioni "normali" ma sale a circa 1.8 in presenza di una brusca recessione.
Non è un mistero: è quello che ogni economista sa e che, come ho cercato di spiegarvi, risulta da una banale ispezione dei fatti stilizzati macroeconomici (la costanza del rapporto fra consumo e reddito, che implica elasticità unitaria e propensione marginale al consumo costante, l'andamento crescente del rappporto fra importazioni e reddito, che implica elasticità vicina a due e propensione marginale all'importazione crescente).
Ne consegue che in recessione, dato che il Pil scende, per cui m diminuisce e il moltiplicatore aumenta, la politica di bilancio agisce sul Pil in modo più che proporzionale, il che consiglia di non usarla per tagliare, perché se tagli finisce come in Ruritania. Molto meglio usarla per sostenere il reddito, visto che un euro in più di deficit produce più di un euro di Pil.
Concludiamo
Lo so. Per molti di voi è stata una sofferenza. Ma altri hanno goduto. Però tiro le conclusioni, se posso.
L'osservazione di Francesco Lippi era acuta, ma risentiva di un problema pratico che il materiale che gli avevo fornito non documentava sufficientemente bene (colpa mia): il calcolo del moltiplicatore incorporava, a fine periodo, un anno di recessione estrema. Era quindi ovvio che il moltiplicatore si avvicinasse a due, e del resto, come sapete, questo è il valore che il Fmi suggerisce per economie in recessione nella sua stucchevole palinodia del 2012 (a pag. 41). D'altra parte, in condizioni normali il moltiplicatore del modello converge a 1.5, e questo è il valore che viene riscontrato da autori molto più autorevoli di me (secondo loro) e con metodo molto più sofisticati dei miei (secondo loro).
La bellezza (per chi può apprezzarla) di questo post consiste nel fatto di aver mostrato a chi ha fatto lo sforzo per capirlo che non c'è alcun bisogno di structural vector autoregressions, di regime switching models, e di altre menate simili, per giungere alla conclusione che il moltiplicatore aumenta nelle recessioni.
Basterebbe saper leggere un cazzo di grafico e sapere cos'è un logaritmo.
E lo sanno, vi assicuro che lo sanno.
La palinodia del Fmi è ipocrisia allo stato puro, purissimo, al 1000%, perché, vedete, che Alesina e Giavazzi coi moltiplicatori negativi delirassero si sapeva, e va bene così, ma che comunque il moltiplicatore fosse maggiore di uno in recessione lo si sapeva ugualmente. Nessun economista serio ha mai avuto dubbi. Avere dubbi su questo significherebbe non sapere la semplice algebra del moltiplicatore, che ormai sapete anche voi, significherebbe ignorare i più banali fatti stilizzati relativi all'andamento delle variabili macroeconomiche (come quelli riassunti dal grafico qua sopra), significherebbe aver dimenticato l'aritmetica per imparare le equazioni alle derivate parziali...
Ah, voi dite che i miei colleghi...
Be', in effetti, forse, almeno gli appellisti...
Però, su, è Natale: veniamoci incontro. Se voi dite che i miei colleghi sono così imbecilli, vi credo, o almeno faccio finta. Ma allora voi in cambio promettetemi di non appenderli per i piedi: la loro minushabensitudine laddove provata, li renderebbe innocenti di fronte a qualsiasi tribunale!
Non appendeteli per i piedi...
...lo faccio io (metaforicamente e pacatamente, s'intende).
Buon Natale!
(ah, naturalmente la conclusione è che il moltiplicatore del modello è assolutamente standard, le sue dimensioni sono quelle convalidate dalla letteratura più recente e tecnicamente agguerrita, e in questo senso il modello è del tutto ortodosso e può essere considerato affidabile quanto qualsiasi altro modello di banca centrale o di centro studi - anzi, di più, perché è finanziato in crowd funding, e quindi qui se Squinzi telefona nessuno scatta sull'attenti. Appena avrete digerito questo cenone, useremo il modello per vedere cosa sarebbe successo se Monti non avesse fatto austerità. Quanto è costato Monti, con la sua decisione folle, a ogni italiano? Dobbiamo purtroppo escludere quelli ai quali è costato la vita: ma anche i superstiti hanno sentito una bella botta. Il conto si fa presto, basta un buon modello, e il nostro lo è, e Eviews 8.1. Ci vuole meno di un secondo - perché i modelli buoni convergono in fretta. Chi offre di più?)
(e mi raccomando, so che fa male, ma poi ci si abitua: se vogliamo parlare ad esempio di Russia in modo un po' più elevato di Tigellone o di Boldrin, dovete capire cos'è un'elasticità. Non ci sono santi. Altrimenti restiamo al permeismo puro. Sinceramente, ormai sarebbe il caso che ve ne affrancaste...).
Chiuso il discorso del benza paper (ma poi ci torniamo, perché da quando abbiamo stimato l'equazione son cambiate tantissime cose, e sono curioso di vedere quale dei vari modelli approssima meglio l'andamento effettivo dei prezzi da maggio a oggi), pubblichiamo un nuovo post della serie KPD (Keynesianesimo per le dame), tornando a parlare del moltiplicatore keynesiano, questo sconosciuto...
Lo faccio per tre motivi:
1) perché volete “er post
tecnico” per sentirvi tanto intelligenti;
(è il vostro lato piddino, non ho difficoltà ad assecondarlo)
2) perché devo cominciare a rispondere
alle costruttive osservazioni di Lippi sulle proprietà del modello (poi
risponderò a Boltho, è un amico e non si offenderà se lo tengo ancora un
momento in coda). Ora, Lippi ha fatto delle domande delle quali certamente può
capire la risposta (fosse sempre così)! Purtroppo, affinché almeno alcuni di
voi siano in grado di comprendere domanda e risposta c’è un pochino di lavoro
da fare...
(alla faccia di quelli che “devi chiudere il blog tanto ormai hai già
detto tutto”! No, le cose non stanno così: io non ho nemmeno sfiorato la punta
dell’iceberg: voi credete di aver
capito tutto, perché siete beati, ma da capire c’è ancora molto e quello di
oggi è un tassello importante del da farsi);
3) perché devo farvi vedere
come i risultati di tanti studi sbandierati sui media siano autentiche scoperte
dell’acqua calda, che scaturiscono banalmente dalle proprietà matematiche del
modello di riferimento comunemente accettato dagli economisti di qualsiasi
forma e colore
(roba che insegnavo ai miei studenti di econometria come Jere (finché ce n’erano) perché l’avevo imparata dal mio maestro Carlucci - per il quale, in segno di riconoscenza, sto preparando il cinghiale nel tegame di rame della mi’ nonna – hoc facite in meam commemorationem).
(roba che insegnavo ai miei studenti di econometria come Jere (finché ce n’erano) perché l’avevo imparata dal mio maestro Carlucci - per il quale, in segno di riconoscenza, sto preparando il cinghiale nel tegame di rame della mi’ nonna – hoc facite in meam commemorationem).
Come alla bottega del
Verrocchio si imparava a dipingere un angelo, così alla bottega di Carlucci si imparava come
funzionasse un moltiplicatore. Ma certo, a quei tempi non si doveva riempire la
(tacci) SUA...
Questo post si basa sul lavoro
(sì, lavoro) svolto in quattro post precedenti, che quindi esorto i nuovi
venuti e gli smemorati a rileggersi:
1) quello che esponeva la semplice aritmetica del
moltiplicatore per
evidenziare il carattere dilettantesco (o luciferino?) delle proposte
“appelliste” (“austerità brutta e cattiva, teniamoci l’euro ma cambiamo
politica”);
2) quello che ricordava un
elementare fatto stilizzato della macroeconomia, ovvero che l’elasticità al reddito delle importazioni
è mediamente intorno a due;
(una conferma la trovate nella prima colonna della Table 3 del paper
sul modello di a/simmetrie, dove il prezioso Christian ha
fatto una rassegna della letteratura; è una delle tante perle – con una “e”
sola – del paper, che sicuramente sfuggirebbero a una lettura non guidata: ma
vi guido io)
3) quello su Marshall-Lerner,
dove definivo propensione marginale ed elasticità, delle quali oggi avremo bisogno;
(il post su Marshall-Lerner andrebbe buono anche per parlare di Russia,
ma lasciamo che oggi ne parlino Tigellone e la sua corte dei miracoli, che io
quello che c’era da dire l’ho pubblicato nel 2012);
4) quello che spiegava come nella modellizzazione economica tornino
piuttosto comode e naturali forme non lineari di tipo logaritmico, semplicemente perché queste esprimono il fatto
che in economia le proporzioni contano più delle dimensioni
(una perdita di 1000 euro per me è ‘na traggedia, per Guglielmo Cancelli un dato assolutamente trascurabile...)
(una perdita di 1000 euro per me è ‘na traggedia, per Guglielmo Cancelli un dato assolutamente trascurabile...)
(il riepilogo del percorso servirà a farvi apprezzare quale knowledge
base sia questo blog, alla faccia dei poveri imbecilli del “basta un tweet, a
che serve un blog”...)
Dato che qui si andrà
veramente sul tecnico, vi dico prima, in parole più o meno semplici, quale sarà
il percorso, così gli esperti capiranno subito dove voglio arrivare e faranno a
meno di leggersi le banalità che seguono, e i non esperti, se giunti alla fine torneranno
qui e riusciranno a capire quello che dico in sintesi, si sentiranno esperti, e
in parte avranno ragione (e certamente lo saranno più di qualsiasi economista
da talk show, ma non di qualsiasi economista della bottega del Verrocchio). Per
descrivervi il percorso parto dall’osservazione di Lippi alla quale fornisco due
risposte: una che capiranno solo gli economisti, e una che descrive quanto
voglio fare per farla capire a voi.
Poi comincerà il
percorso.
Ars longa, vita brevis, ma i post tecnici li volete voi...
L’osservazione di Lippi
L’osservazione di Lippi
era: il moltiplicatore è troppo alto (vicino a due) e in più diverge, il che
dovrebbe mettere in guardia sulle proprietà del modello (che potrebbe essere
dinamicamente instabile).
(questa è la slide con le sue osservazioni, la discussione, se vi interessa, è sul nostro canale Youtube).
La risposta per Lippi (astenersi dilettanti)
Preoccupazione fondata,
ma il problema non sussiste.
Come illustro nella
versione definitiva del paper, il moltiplicatore del modello è attorno a 1.5,
quindi conforme alla letteratura scientifica più recente. La “spike” che si
vede a fine simulazione e che ti ha messo (giustamente) in allarme dipende da
un fatto tecnico. Nel paper i moltiplicatori sono calcolati con simulazione
dinamica ex post a partire dal 2004.
Ora, com’è noto, nel 2009 è successo un discreto casino. Il “salto” del
moltiplicatore è semplicemente il risultato del salto verso il basso
dell’Italia e della non linearità del modello. In un modello a elasticità
costanti (come sono tutti i modelli macro per i noti motivi) le propensioni
marginali, dalle quali dipende il moltiplicatore, variano al variare del Pil,
il che fa sì, banalmente, che in recessione i moltiplicatori siano più grandi
(precisazione: la funzione del consumo di lungo periodo è omogenea lineare nel
mio come in altri modelli, per cui l'elasticità è unitaria e le propensioni marginale e media coincidono e
non cambiano al variare del livello del Pil; questo però non vale per le altre
propensioni, in particolare quella all’importazione...). Come spiego sotto ai
miei lettori, questo risultato, sbandierato ultimamente come una brillante scoperta scientifica a botte di SVAR su NBER, è una ultrabanale conseguenza delle
proprietà matematiche di un modello standard.
L’errore (espositivo) mio
è stato quello di presentare i moltiplicatori calcolati con simulazione ex post
rispetto a una baseline storica. Se li calcoli rispetto a una baseline “ex
ante” sufficientemente “smooth” (costruita come da prassi estrapolando le
esogene secondo le loro tendenze storiche, ad esempio), i moltiplicatori
vengono belli “smooth” anche loro, e convergono attorno a 1.5 (più o meno, a
seconda della voce di spesa che vai ad alterare). Il fatto è che in vita mia mi
ero sempre regolato così, e tutti si regolavano così, per il semplice motivo
che non mi ero mai trovato (non ci eravamo mai trovati) nel campione di stima
uno shock di dimensioni tali da evidenziare la non linearità del modello, come
quello determinato dall’ultima recessione. La conseguenza era che in tanti
studi precedenti, miei o altrui, i moltiplicatori calcolati ex post rispetto
alla baseline storica erano sufficientemente “smooth” perché in simulazione
endogene ed esogene seguivano sentieri di sviluppo ragionevolmente regolari.
La sintesi però è che ti
posso rassicurare: il modello di a/simmetrie non solo ha un moltiplicatore di
dimensioni “vidimate” dalla ricerca recente, ma questo moltiplicatore ha anche
proprietà che a me sembrano banali, ma che NBER ritiene di dover pubblicare! Questo
però fa parte dell’antropologia.
E che vuoi di più dalla
vita?
Sottolineo ancora una
volta (per i laici) che sei stato molto disponibile a commentare un lavoro così
preliminare, e che se il lavoro era troppo preliminare la colpa era mia (avevo
sottostimato gli impicci che mi avrebbe procurato l’ultimo best seller!). Se avessi esposto meglio i risultati non avremmo
discusso di queste banalità. D’altra parte, la mia militanza divulgativa rende
interessanti anche queste divagazioni.
La risposta per gli altri
Se non avete capito, ci
sono due possibilità: la prima è andare su Twitter e interpellare Tigellone,
che vi dirà che queste cose me le ha insegnate lui (ma semplicemente perché
vorrebbe magnasse lui er cinghiale che invece tocca a Carlucci); la seconda è
seguirmi nel mio ragionamento, che si riaggancia al percorso fatto in questo
blog, che è un blog dove si studia o si resta beati.
Il percorso è in due
passi:
1) finora vi ho fatto vedere
solo la formula del moltiplicatore in economia chiusa (cioè senza commercio estero), perché è l’unica
che conoscono Becchetti, Piga e la CGIL (per non far nomi), altrimenti non
proporrebbero referendum pro-troika (fortunatamente falliti). In economia
aperta la dimensione del moltiplicatore dipende anche dalle importazioni e per
farmi capire bene devo esplicitare questa dipendenza;
2) in post precedenti vi ho motivato il fatto
che in economia i comportamenti aggregati sono descritti
meglio da funzioni di tipo logaritmico, ma non vi ho ancora esplicitato la conseguenza di questa non linearità sulla struttura
del moltiplicatore.
Dal primo fatto consegue
che le dimensioni del moltiplicatore in economia aperta diminuiscono (vedremo
poi perché), e quindi che chi addita come risolutiva la lotta all’“autteità
butta attiva” sta usando un’arma relativamente spuntata (e ignora il rischio in
termini di vincolo esterno).
Il secondo fatto (non
linearità) ha due conseguenze:
a) il moltiplicatore non può
essere più ricavato in termini algebrici, come avevamo fatto qui, ma occorre
calcolarlo con metodi numerici (con simulazioni, appunto);
b) le sue dimensioni variano
a seconda del valore delle variabili, e quindi, in un modello empirico, del
momento storico nel quale il moltiplicatore viene calcolato (esattamente come
la derivata di una funzione non lineare non
è necessariamente identica in ogni punto, mentre quella di una retta sì –
questo era per gli ingienggngneri).
(...sempre a beneficio degli
ingienggngneri - così capiscono subito e vanno a fare altro: vi ricordate com’è
fatto il grafico della funzione logaritmica? Derivata? 1/x, bravi! Ecco perché
quando x è grande, il suo impatto su ln(x) è piccolo. ASAT - as simple as that -
ma non ditelo a un economista...)
Siete pronti? Non ci
avete capito niente? Ma come! Avevate capito tutto! Eh, la vita è fatta così.
Proprio quando stai per chiederle di sposarti, la trovi a letto col tuo
migliore amico...
Pensavi di aver capito
tutto, e invece: sorpresa!
Consoliamoci con un po’ di
matematica.
(Certo, per gli
intellettuali da quattro soldi che girano oggi sui social, per gli spin doctor
dozzinali che ci hanno venduto per decenni l’euro come un dogma, e che ora, per
gettare fumo negli occhi ai gonzi, ci additano come persone offuscate dalle
proprie certezze ideologiche, per questi individui infimi che fanno di una
esornativa esaltazione del dubbio metodologico l’arma del più vile dei
fascismi, quello dell’opinione, va da sé, per questa ciurma di collaborazionisti
traditori, ai quali qualcuno un giorno chiederà il conto (e se non lo farà un
tribunale italiano lo farà il ragioniere di ultima istanza, l’Altissimo), per
questi elminti, può anche darsi che la derivata della funzione logaritmica sia
una mia opinione.
Sapete, è un problema di
tassonomia. Io gioco un po’ con gli ingienggngneri, che sanno di sapere molto
più di quanto sappiano, ma è un fatto che essi sono fra i migliori amici
dell’uomo: rientrano almeno nei mammiferi. Ma i laureati in scienze politiche, quelli, stanno da qualche parte fra l’anfiosso e
l’ameba, giù giù, dove noi non abbiamo tempo di andare a ravanare...)
E ora, tecnica sia!
Il moltiplicatore in economia aperta: caso lineare
La contabilità
Allora: per capire quanto
segue dovete rileggervi questo. Se non lo fate e non capite sono fatti vostri.
Se lo fate e non capite è colpa mia, nel qual caso petite et dabitur vobis.
In che modo nel nostro
raccontino l’appellista di turno, che poi si scopre essere Belzebù, cogliona il
politico di turno? Semplicemente glissando sul fatto che in un’economia aperta
al commercio estero gli incrementi di reddito provocati da una politica
espansiva necessariamente si scaricano, almeno in parte, sull’acquisto di beni
esteri, e quindi: (1) producono reddito all’estero (sintesi: “fanno aumentare
il Pil altrui”), e (2) mandano in rosso la bilancia commerciale.
Nulla di male di per sé,
ma sono effetti che vanno quantificati con cautela e valutati nel contesto (per
evitare amare sorprese).
Cerchiamo di formalizzare
questa semplice nozione. Come sempre, la formalizzazione non serve a complicare
cose semplici, ma a semplificare cose complicate. Capisco non sia divertente
come un sulfureo scambio di tweet (so
sorry...), ma se volete evolvere dovete faticare.
Partiamo dal considerare che
quando consumiamo (“acquistiamo beni di consumo”), parte di quanto consumiamo è
prodotto in casa e parte all’estero:
C = CN + CM
dove CN sono i
consumi di beni nazionali e CM i consumi di beni iMportati. Questo
vale anche per i consumi (intermedi) della pubblica amministrazione:
G = GN + GM
e anche nel caso degli acquisti
di capitale fisico da parte delle imprese (la formazione lorda di capitale
fisso industriale, che in contabilità nazionale si chiama investimenti fissi
lordi):
I = IN + IM
Ora, le importazioni di
un paese sono la somma delle tre componenti di acquisto di beni importati,
ovvero:
M = CM + GM
+ IM
D’altra parte, il prodotto di un paese, cui corrisponde il
reddito complessivamente distribuito
nel paese (cioè er Pil), può essere acquistato da parte dei suoi abitanti o da
parte di quelli del resto del mondo, per cui:
Y = CN + GN
+ IN + X
Questa complicatissima
formula matematica (ve lo meritate l’euro) dice semplicemente che quanto viene
prodotto in Italia (Y) viene acquistato in parte dalle famiglie italiane (CN),
in parte dal governo italiano (GN), in parte dagli imprenditori
italiani (IN) e in parte dagli abitanti del resto del mondo, cioè
viene esportato, e le esportazioni sono appunto X. Le spese di tutti questi
gruppi di acquirenti generano reddito in Italia, e la loro somma è il reddito
complessivo generato in Italia (er Pil).
C’è però un problemino-ino-ino
pratico. Molti di noi sanno quanto spendono per campare la famiglia (io no, ad
esempio), ma quasi nessuno di noi è in grado di stabilire quanto di questa
spesa vada in prodotti esteri.
Lo stesso vale a livello
aggregato: nell’identità del PIL entrano le spese complessive, in prodotti
nazionali ed esteri, cioè una cosa di questo tipo:
Y = C + G + I + X
ma... attenti! Così la
formula è sbagliata! Perché? Perché include anche spese che hanno generato
reddito all’estero. Infatti, se sostituiamo, vedremo che:
Y = CN + CM
+ GN + GM + IN + IM + X
e tutte le componenti con
la M (quelle importate) generano reddito nel resto del mondo, non da noi!
La soluzione però è a
portata di mano: basta sottrarre dal computo le componenti di spesa importate.
Se acquisto un’auto
tedesca è l’imprenditore tedesco a far profitti e il suo operaio a ricevere un
salario, quindi è chiaro che questi acquisti devo sottrarli, se quello che mi
interessa è il Pil italiano:
Y = CN
+ CM + GN + GM + IN + IM
+ X – (CM + GM + IM)
Questa è la formula
corretta, che, usando le definizioni di C, G, I e M date sopra, può essere
espressa in modo più semplice (e a voi noto) come:
Y = C + G + I + X – M
dove, quindi, i flussi di
spesa interni (C, G, I) comprendono anche la parte che si rivolge a beni
importati, ma poi il totale delle importazioni viene sottratto, in modo da
restituire in Y tutti e soli i redditi corrispondenti ad acquisti di beni
nazionali (e quindi i redditi distribuiti agli abitanti del paese, non a quelli
di altri paesi).
Chiaro fin qui? La
risposta deve essere sì, perché se è no o forse, allora è inutile che andiate
avanti. Raggiungete la colonnina più vicina e chiedete soccorsi.
L’economia
Da quanto sopra consegue
che il modellino abbiamo usato qui è troppo semplice: dobbiamo considerare anche la
spesa che si rivolge ai beni esteri (importazioni) e quindi le equazioni
diventano tre:
C = cY
M = mY
Y = C + A – M
Il modellino ora ha tre
equazioni: oltre alla funzione del consumo C = cY, c’è anche una funzione delle
importazioni, M = mY, che dice appunto che più guadagni (più cresce Y), più
importi (più cresce M). Come c è la propensione marginale al consumo
(percentuale di un incremento di reddito speso in beni di consumo), così m è la
propensione marginale all’importazione (percentuale di un incremento di reddito
speso in beni importati). Il modello è chiuso da una condizione di equilibrio:
l’offerta aggregata Y (cioè i redditi prodotti e distribuiti) è uguale alla
domanda aggregata (cioè alla somma algebrica delle tre componenti di spesa). La spesa autonoma A comprende
G, I e X (tre componenti di spesa che, in prima approssimazione, possiamo
supporre non dipendano direttamente dal nostro Pil – per I e G non è del tutto
vero, ma per ora ci accontentiamo di un modello semplice).
L’aumento di dimensioni del
modello non procura grossi traumi: siamo ancora a tre equazioni, non a 140 come
nel modello di a/simmetrie, e quindi una soluzione algebrica è facile da
trovare. Il modello si risolve come sempre sostituendo le equazioni di
comportamento nella condizione di equilibrio (fra offerta e domanda aggregata,
cioè fra reddito e spesa):
Y = cY + A – mY
Visto? Al posto di C
abbiamo messo la sua espressione, cY, e al posto di M la sua espressione, mY.
Questo significa “sostituire le equazioni di comportamento nella condizione di
equilibrio”. Perché lo facciamo? Perché così possiamo raccogliere Y a fattor
comune a sinistra dell’uguale:
(1 – c + m)Y = A
e quindi:
(P.s.: non ci provate: ho un figlio alle medie e uno al ginnasio, quindi
so che queste cose dovreste saperle fare. Il fatto che i miei studenti non
sappiano farle non prova nulla: loro hanno vissuto la scuola post-berlingueriana...)
Il moltiplicatore è la frazione che vedete, ed è passato 1/(1-c) a 1/(1-c+m). Siccome m è un
parametro positivo (se guadagni di più consumi più prodotti importati), la
conseguenza è che in economia aperta il
moltiplicatore keynesiano diminuisce.
(...prima lezione di Economia della globalizzazione)
Esempio numerico: in
economia chiusa, con una propensione marginale al consumo del 75% il
moltiplicatore è 1/(1-0.75)=1/0.25=4 (lo abbiamo visto qui). Se però la propensione marginale
all’importazione è dell’80% (cioè: su un euro di spesa, ottanta centesimi vanno
verso l’acquisto cosciente o inconsapevole di beni esteri), il moltiplicatore
diventa 1/(1-0.75+0.8)=1/1.05=0.95.
Bella differenza, vero?
Ecco, tenetela a mente.
Questo è ovviamente il risultato del fatto che in
economia aperta le spese che vengono a valle all’iniziale iniezione di spesa pubblica
(per investimenti o altro) non si
rivolgono solo a beni italiani, e
quindi l’operaio forse compra solo pane italiano, ma questo non è necessariamente
fatto con farina italiana, e lievito italiano, anche se è riscaldato forse in
un forno italiano (ma probabilmente precotto in un forno francese); il fornaio,
non compra solo latte italiano, munto in Italia da una vacca cresciuta in
Italia e alimentata con mangime italiano, dopo essere stata vaccinata con
vaccini italiani, e trasportato da un camion italiano alla centrale del latte
per essere pastorizzato con macchinari italiani e confezionato da macchinari
italiani in tetrapak prodotti in Italia a partire da cellulosa italiana, ma
molto probabilmente latte tedesco... e via dicendo. Ogni spesa che non si
rivolge a un prodotto italiano genera reddito altrove e quindi gli incrementi
cumulati di reddito italiano che fanno seguito a una spesa iniziale sono
ovviamente minori in economia aperta che in economia chiusa. Queste “dispersioni” (leakage) di domanda aggregata, cioè di spesa, verso l’estero,
formalmente sono espresse dal termine +m al denominatore del moltiplicatore.
Più sono grandi, più grande è m, più piccolo è il moltiplicatore.
Visto che ormai sapete
tutto e siete tanto bravi per cui non avete più bisogno del blog (finalmente!),
non mi affretto ad aggiungere una cosa talmente banale che quasi mi vergogno di
segnalarvela: quanto sopra vale anche per gli altri paesi. Ricordate la voce X
nell’identità del reddito nazionale? È strano come le importazioni altrui
somiglino alle nostre esportazioni, no?
Bene.
Quindi io non sto dicendo
che dovremmo tornare all’autarchia! Così come noi sosteniamo i redditi altrui
importando, gli altri sostengono i redditi nostri importando da noi: sono le
nostre esportazioni. Il commercio non è una panacea ma non è il demonio. I
disonesti (intellettualmente) sono il demonio, come vi ho raccontato. In altre parole, io vi sto dicendo che in
economia aperta cambia l’efficacia della politica economica, non che l’economia
aperta sia un male perché ci impoverisce. La prima cosa è un fatto
incontrovertibile. La seconda dipende dalle circostanze, ma normalmente
l’apertura e lo scambio permettono di stare meglio (se gestiti).
Il moltiplicatore in economia aperta: il caso non
lineare
Il modellino che stiamo
vedendo è più realistico di quello che conoscevamo, ma non è ancora abbastanza
realistico perché non tiene conto del fatto, da noi ampiamente documentato, che l’elasticità delle importazioni al reddito è
2.
Come faccio asapere che la funzione M = mY non ha elasticità 2? (in effetti, ha elasticità 1).
Be’, ci dovrebbero
aiutare le definizioni di propensione ed elasticità studiate qui. Mettiamola così: la funzione delle importazioni
che vi ho proposto, M = mY, ci dice che nel lungo periodo le importazioni sono
in rapporto costante al Pil: M/Y = m. Due grandezze rimangono in rapporto
costante se variano nella stessa proporzione, cioè allo stesso tasso di variazione
percentuale. Ma l’elasticità è, come sappiamo, proprio il rapporto fra le
variazioni percentuali di due variabili. Quindi, se queste due variazioni sono
identiche, il loro rapporto è 1. Detto in altre parole: se due grandezze rimangono in rapporto costante, sono legate da una elasticità unitaria. Quindi, siccome la funzione delle
importazioni che vi ho proposto ha una elasticità unitaria, non fornisce una buona rappresentazione
della realtà (perché in realtà l’elasticità delle importazioni al reddito è di
circa 2, cioè due. Capito bene? Due. Chiaro? Due).
(quant’è l’elasticità delle importazioni al reddito?...)
Sintesi: il fatto che la funzione considerata abbia un'elasticità troppo bassa è conseguenza del fatto che essa postula che importazioni e reddito crescano secondo un rapporto costante m. E invece? E invece non è così: il rapporto fra importazioni e reddito non è stato storicamente pari a una costante m, ma è andato crescendo così:
Vedete? La propensione al consumo si è stabilizzata dagli anni '70 attorno al 60% (0.6), mentre quella all'importazione è partita a 0.07, e, se non ci fosse stata la battuta d'arresto determinata dalla crisi, oggi sarebbe forse a 0.3 (il 30%). In altre parole, dal 1960 a oggi reddito e consumi sono cresciuti in media praticamente allo stesso tasso (2.5% il reddito, 2.6% i consumi), mentre le importazioni sono cresciute a velocità doppia: il 5% in media. 5/2.5 = 2, ovvero l'elasticità delle importazioni al reddito è...
Dai, su, che la sapete: è due!
Questo però significa che la funzione che abbiamo messo nel modellino (M=mY), e che si trova in ogni e ciascun modellino di macroeconomia aperta da secondo anno, è fasulla, non rispecchia la struttura della realtà.
Per capire come potrebbe essere fatta la funzione giusta, quella che rispecchia la struttura della realtà, quella dove se il reddito cresce dello z%, le importazioni crescono al doppio (cioè al 2z%), cominciamo col fare un esempio numerico, perché forse può aiutare.
Guardatevi questa
tabbellina:
La prima colonna fornisce
i valori di Y, il reddito, la variabile esplicativa nelle funzioni del consumo
e delle importazioni. Al tempo 0, Y vale 100. Se al tempo 1 vale 101, significa
che è aumentato di 1 (incremento assoluto), cioè, in questo caso, dell’1% (incremento percentuale). La seconda colonna
fornisce i valori di C, che sono quelli di Y moltiplicato per 0.75. Quando Y vale 100, C vale 75, e se Y aumenta di 1, C aumenta di 0.75 (incremento assoluto), cioè dell'1% (incremento percentuale).
Un discorso analogo vale per M. Quando Y vale 100, M vale 40.
Quando Y vale 101, M vale 40.4. Quindi
M aumenta di 0.4, che corrisponde, guarda caso, all’1% (anche lui). Insomma: in questo modello (che è quello che vi ho descritto sopra) quando Y aumenta dell'1%, tutto aumenta dell'1%: sia C che M, ed è ovvio che sia così, visto che i rapporti fra consumo e reddito (C/Y=c=0.75) e fra importazioni e reddito (M/Y=m=0.74) rimangono costanti (noi economisti li chiamiamo propensione media).
Guardate un altro (anzi: un'altro) dettaglio. Vi ricordate quando abbiamo definito le elasticità come rapporto fra incrementi percentuali?
Abbiamo detto che la propensione marginale era un rapporto fra incrementi assoluti:
e che l'elasticità era un rapporto fra incrementi percentuali, che in quanto tale può essere espresso come rapporto fra propensione marginale (MP, marginal propensity) e propensione media (AP, average propensity):
Se consideriamo le importazioni, vediamo che la MP a importare (che poi sarebbe m=0.4) è uguale al rapporto fra gli incrementi assoluti di importazioni e reddito (0.4/1=0.4), e che l'elasticità delle importazioni al reddito, che in questo caso poi sarebbe 1, è uguale sia al rapporto fra incrementi percentuali di importazioni e reddito (0.01/0.01=1) che al rapporto fra propensione marginale e media all'importazione (0.4/0.4=1), mentre la propensione marginale, a sua volta, è uguale all'elasticità delle importazioni al reddito per la propensione media a importare (1x0.4=0.4).
I conti tornano...
Oh, sentite, i post tecnici li volete voi, e io non posso sempre rompermi i coglioni con l'aritmetica! Qui, se volete andare avanti, bisogna studiare, e questi sono i compiti per le vacanze.
Ma....
E se invece volessimo una funzione con elasticità 2?
(perché le importazioni che elasticità hanno? Due! Bravi!)
Vediamo quest'altra tabbbella:
Qui ho considerato una diversa funzione delle importazioni: le importazioni aumentano con il quadrato del reddito, moltiplicato per 0.004. E che succede se la funzione delle importazioni ha questa forma arcana? Lo vediamo nell'ultima colonna!
Quando il reddito aumenta da 100 a 101, le importazioni aumentano da 40 a 40.8, cioè aumentano di 0.8. Guarda un po'! L'incremento assoluto delle importazioni è 0.8, quindi quello percentuale è del 2%, e siccome l'incremento percentuale del reddito è sempre dell'1%, ne consegue che l'elasticità è 2 (2.01 per problemi di arrotondamento), e tutti i nostri altri discorsi tornano.
1) la propensione marginale è uguale al rapporto fra gli incrementi assoluti (0.8/1 = 0.8), ma anche al prodotto fra elasticità e propensione media (0.4x2 = 0.8);
2) l'elasticità è uguale al rapporto fra incrementi percentuali (0.02/0.01=2), ma anche al rapporto fra propensione marginale e propensione media: 0.8/0.4=2.
Fico, no?
No?
Veramente non vi piace?
E allora come facciamo? Siamo in una crisi economica, e non mi andrete mai oltre ai ragli di Twitter?
No, dai, non è possibile: fate come i piddini! Anche se non vi piace, fate almeno finta che vi piaccia, perché se non squarciate il velo di Maya non arriverete mai al paradiso del #DAR, quello nel quale si aggirano le anime elette (IO) contemplando il dibattito economico italiano e internazionale.
Allora: vediamo un po' cosa abbiamo intuito (forse) finora: abbiamo intuito (ma non dimostrato) che in una relazione del tipo:
X = a Zb
l'elasticità è l'esponente della Z (della variabile a destra). In effetti, nella funzione delle importazioni
M = 0.4 Y
l'esponente della Y (della variabile a destra) era uno (non si vede, ma c'è, perché se non ci fosse Y sarebbe 1... Qualcuno l'ha capita?), e l'elasticità, calcolandola, veniva uno, mentre nella funzione:
M = 0.004 Y2
l'esponente della Y è due, e l'elasticità calcolata ci viene 2.
In effetti sì, siete maggiorenni, ed è ora che sappiate certe cose: nella modellistica economica le relazioni a elasticità costante vengono proprio rappresentate mediante funzioni del tipo:
X = a Zb
(dove l'elasticità, ovviamente, è b). Poi, per raggiungere l'apice del delirio, vi ricordo che i logaritmi ("C'è un medico in sala?"), dei quali abbiamo parlato qui, hanno la proprietà che chi è passato per la scuola dell'obbligo conosce, di trasformare il prodotto in somma e l'elevazione a potenza in prodotto, il che, in buona sostanza, significa, che in economia lavoriamo con la trasformata logaritmica della funzione che vi ho appena mostrato, cioè con:
ln(X) = ln(a) + b ln(Z)
Ad esempio, nel caso di
M = 0.004 Y2
la trasformata logaritmica sarebbe:
ln(M) = -5.52 + 2 ln(Y)
Bbbboni, state bboni...
Dunque, intanto se prendete il working paper del modello, vedrete che praticamente tutte le equazioni di lungo periodo stimate hanno questa forma.
Ad esempio, a pagina 97 trovate questa tabella arcana:
la quale vi informa del fatto che il logaritmo delle importazioni dalla core Eurozone, cioè la variabile LOG(MGUSDVB), dipende da una costante C uguale a -18.35 e da 2.119 moltiplicato per il logaritmo del Pil italiano LOG(GDPVUSD) (la tabella vi dà tante altre informazioni che per ora non vi interessano, ma intanto vorrei farvi capire che anche il nostro complicato modello è fatto di pezzi relativamente semplici come quello che vi ho appena descritto). Perché vi faccio vedere i risultati di queste stime? Intanto per cominciare a guidarvi nella loro interpretazione, e poi per farvi capire che una funzione delle importazioni del tipo M = 0.004 Y2 non è poi così arcana, non è un parto della mia fantasia perversa (sai che soldi col romanzo erotico?), ma è, banalmente, quello che si trova quando si mettono due dati in un computer e si spingono un paio di tasti.
Ora, attenzione, qui prendetevi un tè, una camomilla, una grappa, insomma, qualcosa, perché dobbiamo fare il passo determinante per farvi capire come mai in recessione non si deve mai fare austerità (ma proprio mai mai mai). Sì, lo so che lo sapete, che ve lo hanno detto, ma in realtà non lo sapete, non potete saperlo, è una cosa un pochino tecnica.
Mettiamola così: mi appello al vostro animo piazzaleloretista: voi non siete quelli che vogliono appendere tutti per i piedi? Ma mica si può appendere uno per i piedi solo perché porta il loden! Eh no, non sta bene, soprattutto a Natale! Se volete farlo, io non sono e non sarò d'accordo, ma almeno esigo che lo facciate a ragion veduta, dopo aver capito quanto era evidente a ogni economista (lui compreso) che quello che stava facendo ci avrebbe condotto al disastro!
(...voi direte che abbiamo la sua confessione, ma quella è venuta ex post: io vi voglio dimostrare con evidenza matematica che quello che sarebbe successo lo sapeva benissimo prima).
Sono riuscito a motivarvi? La vostra stolida e improduttiva sete di sangue è stimolo sufficiente per incitarvi a capire?
Bene, allora mettiamo insieme due pezzi del discorso:
1) abbiamo visto sopra che le dimensioni del moltiplicatore dipendono da quelle della propensione marginale all'importazione:
Più m è grande, più piccolo è il moltiplicatore.
2) abbiamo visto anche che la propensione marginale è il prodotto dell'elasticità per la propensione media:
Quindi (rullo di tamburi) se in un modello l'elasticità è costante, la propensione marginale cresce con la propensione media. Ma:
3) quando l'elasticità al Pil è maggiore di uno, la propensione media all'importazione cresce col Pil, e quindi la propensione marginale all'importazione cresce col Pil, e quindi il moltiplicatore cala al crescere Pil, e aumenta al diminuire del Pil.
Questa proprietà delle funzioni normalmente utilizzate per rappresentare la realtà macroeconomica (perché ne rispecchiano il funzionamento) ci garantisce che in tempi di recessione il moltiplicatore keynesiano sarà più grande che in tempi normali, e che quindi in recessione i tagli avranno un effetto amplificato sul Pil.
Ed ecco l'esempio numerico: riprendo esattamente l'ultima tabella, dove però, a causa della recessione, il valore di partenza del Pil considero sia 93 anziché 100 (è diminuito del 7%).
Allora: col Pil che vale 93, i consumi valgono 0.75x93=69.75, le importazioni valgono 34.60 (fate il conto voi), e notate: il rapporto fra consumi e Pil (la propensione media al consumo) è esattamente quello di prima (0.75), mentre il rapporto fra importazioni e Pil (la propensione media alle importazioni) è diminuito da 0.4 a 0.37. Questo, ovviamente, perché siccome l'elasticità è due, alla diminuzione del reddito (denominatore) è conseguita una diminuzione più che proporzionale delle importazioni (numeratore) e quindi il rapporto è diminuito.
Ormai siete dei professionisti, e quindi sapete da voi che la propensione marginale all'importazione, cioè m, non sarà più 0.8 come prima: possiamo calcolarla come prodotto fra l'elasticità (2) e la propensione media (0.37), e troviamo (arrotondando) 0.75. Oppure, se non ci fidiamo, incrementiamo il reddito di uno: i consumi passano a 70.50 (aumentano di 0.75), mentre le importazioni aumentano di 0.75 pure loro... E allora vedete che il rapporto fra incremento assoluto delle importazioni e incremento assoluto del reddito è pari appunto a 0.75, cioè quando il Pil è pari a 93 la propensione marginale alle importazioni casualmente scende fino a diventare pari a quella alle importazioni.
Ora occhio, guardate il moltiplicatore!
Nel caso in cui il Pil partiva da 100, avevamo:
(è riportato nella tabbbella, quella con tre b), mentre quando il Pil parte da 93 abbiamo:
cioè il moltiplicatore aumenta.
E questo cosa significa?
Be', ve la ricordate la storiella della Ruritania e della Cracozia? Nell'esempio che stiamo svolgendo, in condizioni di recessione stiamo proprio come la Ruritania: moltiplicatore pari a uno significa che un punto di spesa pubblica in meno fa calare di un punto sia il debito che il Pil, quindi se il debito è 6/5=120% del Pil, dopo diventa 5/4=125% del Pil.
In condizioni più floride le cose non andrebbero così male: una diminuzione di uno del numeratore (via tagli alla spesa e al deficit) farebbe diminuire il denominatore solo di 0.95, e quindi si andrebbe solo al 123%!
Va bene, questi sono numeri ovviamente dati a caso, ma avete capito il messaggio?
Le dimensioni del moltiplicatore aumentano nelle fasi di recessione, semplicemente per effetto della fisiologica non linearità della funzione delle importazioni (fatto stilizzato universalmente riconosciuto in letteratura), che comporta che in condizioni recessive le "dispersioni" di reddito verso l'estero calino in modo più che proporzionale (m diminuisce), e quindi la spesa pubblica attivi un reddito proporzionalmente maggiore all'interno del paese. Nel modello di a/simmetrie il moltiplicatore è 1.5 in condizioni "normali" ma sale a circa 1.8 in presenza di una brusca recessione.
Non è un mistero: è quello che ogni economista sa e che, come ho cercato di spiegarvi, risulta da una banale ispezione dei fatti stilizzati macroeconomici (la costanza del rapporto fra consumo e reddito, che implica elasticità unitaria e propensione marginale al consumo costante, l'andamento crescente del rappporto fra importazioni e reddito, che implica elasticità vicina a due e propensione marginale all'importazione crescente).
Ne consegue che in recessione, dato che il Pil scende, per cui m diminuisce e il moltiplicatore aumenta, la politica di bilancio agisce sul Pil in modo più che proporzionale, il che consiglia di non usarla per tagliare, perché se tagli finisce come in Ruritania. Molto meglio usarla per sostenere il reddito, visto che un euro in più di deficit produce più di un euro di Pil.
Concludiamo
Lo so. Per molti di voi è stata una sofferenza. Ma altri hanno goduto. Però tiro le conclusioni, se posso.
L'osservazione di Francesco Lippi era acuta, ma risentiva di un problema pratico che il materiale che gli avevo fornito non documentava sufficientemente bene (colpa mia): il calcolo del moltiplicatore incorporava, a fine periodo, un anno di recessione estrema. Era quindi ovvio che il moltiplicatore si avvicinasse a due, e del resto, come sapete, questo è il valore che il Fmi suggerisce per economie in recessione nella sua stucchevole palinodia del 2012 (a pag. 41). D'altra parte, in condizioni normali il moltiplicatore del modello converge a 1.5, e questo è il valore che viene riscontrato da autori molto più autorevoli di me (secondo loro) e con metodo molto più sofisticati dei miei (secondo loro).
La bellezza (per chi può apprezzarla) di questo post consiste nel fatto di aver mostrato a chi ha fatto lo sforzo per capirlo che non c'è alcun bisogno di structural vector autoregressions, di regime switching models, e di altre menate simili, per giungere alla conclusione che il moltiplicatore aumenta nelle recessioni.
Basterebbe saper leggere un cazzo di grafico e sapere cos'è un logaritmo.
E lo sanno, vi assicuro che lo sanno.
La palinodia del Fmi è ipocrisia allo stato puro, purissimo, al 1000%, perché, vedete, che Alesina e Giavazzi coi moltiplicatori negativi delirassero si sapeva, e va bene così, ma che comunque il moltiplicatore fosse maggiore di uno in recessione lo si sapeva ugualmente. Nessun economista serio ha mai avuto dubbi. Avere dubbi su questo significherebbe non sapere la semplice algebra del moltiplicatore, che ormai sapete anche voi, significherebbe ignorare i più banali fatti stilizzati relativi all'andamento delle variabili macroeconomiche (come quelli riassunti dal grafico qua sopra), significherebbe aver dimenticato l'aritmetica per imparare le equazioni alle derivate parziali...
Ah, voi dite che i miei colleghi...
Be', in effetti, forse, almeno gli appellisti...
Però, su, è Natale: veniamoci incontro. Se voi dite che i miei colleghi sono così imbecilli, vi credo, o almeno faccio finta. Ma allora voi in cambio promettetemi di non appenderli per i piedi: la loro minushabensitudine laddove provata, li renderebbe innocenti di fronte a qualsiasi tribunale!
Non appendeteli per i piedi...
...lo faccio io (metaforicamente e pacatamente, s'intende).
Buon Natale!
(ah, naturalmente la conclusione è che il moltiplicatore del modello è assolutamente standard, le sue dimensioni sono quelle convalidate dalla letteratura più recente e tecnicamente agguerrita, e in questo senso il modello è del tutto ortodosso e può essere considerato affidabile quanto qualsiasi altro modello di banca centrale o di centro studi - anzi, di più, perché è finanziato in crowd funding, e quindi qui se Squinzi telefona nessuno scatta sull'attenti. Appena avrete digerito questo cenone, useremo il modello per vedere cosa sarebbe successo se Monti non avesse fatto austerità. Quanto è costato Monti, con la sua decisione folle, a ogni italiano? Dobbiamo purtroppo escludere quelli ai quali è costato la vita: ma anche i superstiti hanno sentito una bella botta. Il conto si fa presto, basta un buon modello, e il nostro lo è, e Eviews 8.1. Ci vuole meno di un secondo - perché i modelli buoni convergono in fretta. Chi offre di più?)
(e mi raccomando, so che fa male, ma poi ci si abitua: se vogliamo parlare ad esempio di Russia in modo un po' più elevato di Tigellone o di Boldrin, dovete capire cos'è un'elasticità. Non ci sono santi. Altrimenti restiamo al permeismo puro. Sinceramente, ormai sarebbe il caso che ve ne affrancaste...).
Iscriviti a:
Post (Atom)
