(...oppure saturnino e alpigiano, con gli occhi incavernati dalla diffidenza, con lo sfinctere strozzato dall'avarizia, e rosso dentro l'ombra delle sue lèndini... d'un rosso cupo... da celta inselvato nelle sue montagne... che teme il pallore di Roma e si atterrisce dei suoi dattili...)
L'economia, quella mainstream, ci insegna che il valore di mercato di un cespite (loro dicono: asset) è dato dal valore attuale del flusso dei suoi redditi futuri. Segue breve lezioncina di matematica finanziaria ad usum piddini (cioè vostro), che, per rendere assolutamente semplice, sfronderò da alcune ovvie complicazioni riferite al fatto che stiamo parlando del futuro, il quale, com'è noto, è avvolto dall'incertezza (soprattutto per il PD).
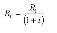
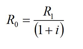
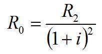
Per capire come vanno le cose, meglio prenderla al rovescio. Supponiamo di avere una somma R0 e di investirla al tasso i per un anno. Alla fine dell'anno ci dovrà essere restituita la somma R1:
R1 = (1+i) R0
Esempio: se investo 100 al 5% mi dovrà essere restituito 100x(1.05)=100+5=105, dove 105 è il montante, che consta della restituzione del capitale di 100 con gli interessi di 5.
Ora, nella vita il tempo non è reversibile. In matematica finanzaria sì: per valutare se una scelta finanziaria conviene, bisogna essere in grado di far andare i soldi avanti e indietro lungo l'asse dei tempi (la necessità di questo andirvieni scaturirà naturaliter dal seguito del ragionamento). La cosa può essere complicata a piacere, ma nel caso in specie è molto semplice. La formula precedente risponde alla domanda: quanto ottengo a fine anno se oggi investo R0? La domanda inversa è: per ottenere R1 a fine anno quanto devo investire oggi? La risposta alla domanda inversa si ottiene invertendo la formula, cioè risolvendola per R0:
Vale il discorso che le formule sono una risposta concisa. Strano che piacciano a un prolisso come me, ma la vita, si sa, è strana: negli ultimi cinque giorni, su Twitter, ne abbiamo viste di ben peggiori. Se volete ficcarci dei numeri, per non usurare la vostra capacità di astrazione, potete metterla così: se il tasso di interesse è al 5% e voglio ottenere 105 euro fra un anno, oggi dovrò investire 105/1.05=100, che è il valore attuale (ovvero: odierno) della somma che otterrò in futuro. Questa divisione, quindi, riporta finanziariamente una somma futura (105) al tempo presente.
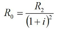
Naturalmente se sono più paziente, e posso aspettare due anni, immaginando che il tasso di interesse sia noto e costante (il che potrebbe banalmente accadere perché lo ho stipulato contrattualmente), il discorsetto di cui sopra diventa:
R2 = (1+i)x(1+i) R0 = (1+i)2 R0
supponendo, come generalmente si fa in questi casi, che gli interessi vengano "capitalizzati" annualmente, che poi equivale a dire che alla fine del primo anno ti prendi i tuoi 105, e li reinvesti al 5%, ottenendo alla fine del secondo anno 105x(1.05) = 110.25 = 100 x 1.052 = 100 x 1.1025.
I conti tornano, no?
Se voglio riportare finanziariamente a oggi (tempo 0) una somma di 110.25 che percepirò fra due anni, posso calcolarne il valore attuale invertendo la formula, ovvero così:
Chiara la logica, no?
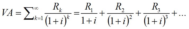
Ora cambiamo leggermente prospettiva. Supponiamo di sapere che un certo cespite (un investimento finanziario, un'azienda, il Colosseo...) in futuro ci procurerà un flusso di ricavi Rk, dove k = 1, 2, ... indica l'anno al termine del quale riscuotiamo i ricavi. Cominciamo facendola semplice e immaginando che un asteroide pietoso venga fra tre anni a sollevarci dallo spettacolo penoso della nostra politica. In altre parole, ci restano due anni di dibattito sullo ius soli (questo per riconciliarvi con la vostra morte, che comunque se siete vecchi conta meno, come abbiamo recentemente appreso da un novello Raskolnikov - va notata l'infinita sapienza dell'onomastica, che ha attribuito a quest'ultimo il nome Rodion, giustappunto perché rosicava). In questo caso, sempre ipotizzando un tasso di interesse costante, il valore attuale dei ricavi futuri percepiti si otterrà riportandoli finanziariamente a oggi:
Sì, avete capito bene: VA sta per valore attuale (in inglese sarebbe PV: present value). Il resto dovrebbe esservi ovvio.
Purtroppo, "del doman non v'è certezza" (verso che il mio amico Romeo Nepomuceno Ciuffa, maestro di cappella dei colli romani, riassumeva con un beneaugurante: "Oggi ce semo, domani nun ce sei"...). Non possiamo pensare che gli astri pietosi vengano a sottrarci al delirio di certa feccia: dovremo conviverci, ma non sappiamo per quanto. Gli economisti hanno un modo piuttosto spiccio di risolvere il problema dell'incertezza degli orizzonti: stante la difficoltà di imporre una condizione terminale che non sia arbitraria, normalmente essi lavorano con orizzonti infiniti. Venendo al nostro caso, supponiamo che l'azienda che stiamo valutando (o il Colosseo) non abbia una data di liquidazione certa. Bisognerà fare come se fosse eterna, il che significa che il suo valore attuale dovrà essere calcolato come somma di tutti gli infiniti ricavi futuri. Manca una parolina: ricavi futuri attesi. Tuttavia vi ho chiarito che per semplicità avrei fatto (parzialmente) astrazione dall'incertezza, altrimenti sarei stato costretto a introdurre nel discorso il calcolo delle probabilità, per la gioia di alcuni (inclusi i soliti precisazionisti rompicoglioni che sarebbero venuti a spiegarmi cose che non capiscono), ma per lo sconforto delle moltitudini. Quindi, facciamo come se noi i ricavi futuri li conoscessimo. In base alla logica precedente, il valore attuale della nostra azienda (o del Colosseo), supponendo di conoscere i ricavi futuri, e supponendo che il tasso di interesse sia costante, sarebbe una cosa del tipo:
Che formulona complicatissima! Qualcuno di quelli che oggi si lamentano di non essere riusciti a combinar nulla in tanti anni, ai bei tempi l'avrebbe chiamata una "fumisteria econometrica" (perché nel dubbio sul da farsi, preferivano attaccare me anziché il nemico...). La logica, però, credo di avervela spiegata: ogni addendo prende la somma percepita in futuro e la "sconta" riportandola ad oggi. Che poi, se le formule complicate non piacciono, c'è un modo semplice per venirne a capo. Basta fare l'ulteriore ipotesi che i ricavi futuri non solo siano certi, ma siano anche costanti e uguali a R. Se è così, possiamo raccogliere R a fattor comune (aka "tirarlo fuori" dalla sommatoria), ottenendo questo risultato:
dove il secondo passaggio, mi rendo ben conto, non è immediato, ma la sua dimostrazione, se interessa, è qui (usiamo l'intertestualità, finché ce la fanno usare: non durerà). Questa semplice formula, quella che dice che il valore attuale di una rendita perpetua è uguale alla rata della rendita divisa per il tasso di interesse, torna comoda in molti ragionamenti, e noi l'abbiamo usata, ad esempio, qui (senza esplicitarla) e prima ancora qui. Come vedete, essa stabilisce una relazione inversa fra il prezzo di un cespite (il valore attuale del flusso infinito dei suoi redditi futuri) e il tasso di interesse. Voglio farvi notare che è tutt'altro che una remota astrazione, irrilevante per il dibattito, anzi! Una sua conseguenza è che quando i tassi di interesse crescono, i prezzi dei titoli scendono, determinando una capital loss (perdita in conto capitale) per i detentori. Lungi dall'essere un curiosum matematico, questo fatto della vita spiega perché raffinati intellettuali "de sinistra" siano contrari all'uscita dall'euro: perché temono che il rialzo dei tassi di interesse (che ci sarà solo nella loro testa, ma lasciamo stare) determini un calo del valore di portafoglio dei loro sudati Btp (e quindi i giovani disoccupati si fottano). Uno me lo ha detto in faccia, e non ve ne faccio il nome. Per completezza, aggiungo che avendo letto Dostoevskij non ho pensato "perché vive un uomo simile?".
Sarebbero #lebbasi.
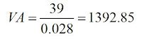
Volendo metterci dei numeri, la formula de cujus ci dice che se, ad esempio, ci aspettiamo di ricevere dal nostro cespite un reddito annuo costante di 39 milioni, e il tasso di interesse a lungo termine è del 2,8%, il valore attuale del cespite (quello che gli economisti chiamano il valore fondamentale, perché basato sui fondamentali di mercato, per distinguerlo dal prezzo corrente che potrebbe essere scollato dai fondamentali per effetto di una bolla), sarà pari a:
che poi, in soldoni, significa che con un tasso di interesse simile, per cedere un cespite che fornisce una rendita simile senza rimetterci il venditore deve esigere quasi un miliardo e quattrocento milioni (un miliardo trecentonovantadue milioni e ottocentocinquantamila euri, per la precisione).
Perché vi do queste cifre a casaccio?
Ma naturalmente perché non sono a casaccio! Trentanove milioni sono gli incassi annui del Colosseo nel 2016 (quando ti visitano quasi sette milioni di turisti, ti può capitare di fare un po' di soldi), e il 2.8% è esattamente il tasso al quale l'Italia colloca i suoi bond a cinquanta anni.
E tanto vi dovevo per la parte rendite.
Proseguo citandovi questo brano dall'Anteprima di Giorgio Dell'Arti (utilissima):
Tutto si può dire della valutazione espressa dalla Ragioneria dello Stato, ma non che non sia puzzling. Intendiamoci: quella che vi ho proposto io è esagerata, per un motivo evidente: ciò di cui bisogna tener conto per valutare il prezzo di un cespite non sono i ricavi (39 milioni), ma i guadagni, cioè quello che resta dei ricavi una volta sottratti i costi (per il personale, in particolare per il direttore; per la manutenzione, anche se quella straordinaria è "gratis"; per il servizio di biglietteria, e via dicendo). Il tema è complesso ed ha suscitato qualche legittima perplessità, tuttavia, per farla semplice, due calcoli back of the envelope ci dicono che mantenendo l'ipotesi circa il tasso di interesse, un valore attuale di 151,5 milioni di euro lo si ottiene ipotizzando un guadagno futuro pari a 4.24 milioni di euro all'anno, il che significa ipotizzare costi pari a un po' meno di 35 milioni all'anno (4.242/0.028=151.5).
Ora: spese di riscaldamento non ce ne sono, spese di condominio nemmeno... ma questi 35 milioni come andrebbero spesi?
In alternativa, si mantiene forse l'ipotesi che il 30% degli incassi vada comunque alla Soprintendenza (e quindi costituisca un costo per l'eventuale investitore privato)? In questo caso i ricavi sarebbero 39 meno il 30%, cioè 27.3, e quindi un guadagno di 4 implicherebbe altri costi pari a oltre 23 milioni l'anno.
Oppure chi ha fatto questa valutazione sa qualcosa che noi non sappiamo circa eventuali oggetti Apollo, e ha accorciato la sommatoria di conseguenza? O magari si aspetta che usciamo dall'euro e i tassi schizzino (si dice così) oltre il 25%?
Saperlo!
Magari se qualcuno di voi più bravino di me con le ricerche trova il testo originale di questa valutazione ce lo guardiamo insieme: sono sicuro che un motivo ci sarà e sarà interessante vedere quale sia.
Resta un fatto: in mezzo a così tanta, tantissima incertezza, esasperata, fra l'altro, dal fatto di non avere un governo nel pieno dei suoi poteri, pubblicare (che non significa: "fare") una valutazione simile non mi sembra un capolavoro di opportunità politica. Ci sono così tante polemiche in corso sulla svendita del patrimonio pubblico: abbiamo appena smesso di commentare la simpatica operazione di spin lanciata da quello che parlava di torri di monetine, a supporto della proposta del governo di alienare beni demaniali... Ora: siamo d'accordo che Colosseo e Fontana di Trevi sono cedibili solo in un film di Totò. Ma siamo anche d'accordo sul fatto che la classe politica che stiamo accompagnando, per quanto riottosa, a una meritata e rapida estinzione, ci ha fatto e ci sta facendo sempre più rimpiangere Totò. Quindi, forse, di argomenti simili sarebbe meglio non parlare, o almeno non ora. In subordine, sarebbe opportuno parlarne in modo trasparente e tecnico.
Questo post è stato appunto scritto per offrire ai proprietari del Colosseo, cioè a tutti gli italiani (lo so, è una parolaccia), strumenti per comprendere la logica di certe valutazioni tecniche.
Si apra la discussione...
(...ah, naturalmente per tutti tranne che per Martinetus: anche rendite e svendite sono dattili. No, Davide, non datteri: dattili. E googlateli, cazzo!...)
L’economia esiste perché esiste lo scambio, ogni scambio presuppone l’esistenza di due parti, con interessi contrapposti: l’acquirente vuole spendere di meno, il venditore vuole guadagnare di più. Molte analisi dimenticano questo dato essenziale. Per contribuire a una lettura più equilibrata della realtà abbiamo aperto questo blog, ispirato al noto pensiero di Pippo: “è strano come una discesa vista dal basso somigli a una salita”. Una verità semplice, ma dalle applicazioni non banali...
Visualizzazione post con etichetta Svendita. Mostra tutti i post
Visualizzazione post con etichetta Svendita. Mostra tutti i post
venerdì 29 dicembre 2017
giovedì 27 dicembre 2012
Zero per zero uguale zero: l'agenda Monti
(devo aggiungere altro? Non credo. Sono come sempre riconoscente, incredulo e commosso quando sollecitate la mia opinione su qualcosa, ma sulla cosiddetta "agenda Monti" non vorrei più esprimermi. Vedete? Il gioco è molto chiaro anche ai pubblicitari romani, che ci ironizzano sopra col consueto cinismo di chi ha visto cadere ben altri imperi. Per quel che mi riguarda, era già tutto in questo mio articolo di novembre 2011, un articolo che per molti varrà sicuramente la pena rileggere, e, forse in modo ancora più lungimirante sotto il profilo politico, in questo articolo di Claudio Borghi dello stesso periodo. Quello che Claudio vedeva molto bene già a novembre 2011, io l'ho visto poi con sufficiente lucidità a gennaio 2012, rispondendo a una domanda di Marino Badiale, che mi chiedeva: "Alberto, ma se la Germania è nostra concorrente, perché ci chiede di fare riforme che aumentino la nostra competitività? Non va così contro i propri interessi?". Ottima domanda, e la risposta credo la sappiate: il problema è nel manico. Una volta intrappolati in una unione monetaria, i paesi periferici hanno due strade: o rassegnarsi all'annessione, o uscire. Normalmente l'esito è il secondo, come ci ricorda il romanzo di centro e di periferia. Ma le politiche di "riforma strutturale" e di "austerità" non hanno certo lo scopo di renderci più competitivi. Hanno quello di sbriciolare la nostra industria, la nostra economia, perché sia poi più facile per la Germania acquisirla e soprattutto gestirla (secondo un modello già sperimentato con l'annessione della Germania Est), e hanno lo scopo di restituire soldi ai creditori tedeschi - magari via Spagna, come MES vuole. Quella che ci aspetta è una nuova guerra di indipendenza, dove chi ci governa sarà, come era a Milano nel 1848, dalla parte dello straniero. La strada dell'euro porterà fatalmente a questo esito. Chi realmente crede nei valori di pace e prosperità iscritti nei Trattati europei deve adoperarsi perché l'euro venga superato. L'unica reale prospettiva di integrazione europea è quella dell'"External compact", e per assicurarlo, cioè per garantire che la crescita dei paesi europei possa avvenire senza generare squilibri esterni, l'unica strada è il ripristino della flessibilità del cambio, da ristabilire come misura difensiva, mentre si intraprende la necessaria sincronizzazione delle economie reali, e si accerta la reale volontà di cooperazione dei partner europei. Ecco, parliamo di questo: è nel libro e sarà in un prossimo post. Ma non parliamo della turpe "agenda" dell'hidalgo de la Sierra. Ad prevedibilia nemo tenetur...).
mercoledì 28 novembre 2012
Quando c'è la salute c'è tutto...
(Non vi sarà sfuggito, vero? L'hidalgo de la Sierra, proprio lui, il valvassino poco a suo agio con l'aritmetica e con la dinamica del debito, ha avanzato ieri l'idea che il servizio sanitario nazionale potrebbe non essere sostenibile, e che, caso strano, potrebbero occorrere capitali privati, e in particolare, indovinate un po'... investimenti esteri, da generare attraverso investimenti in ricerca. Un discorso sconclusionato del quale si capiva benissimo dove volesse andare a parare, tant'è che perfino la 'zdora, nel solito macabro giochino delle parti, si è adontata: "Io sul tema di tenere un sistema universalistico nella sanità non mollo"... Ecco, brava, non mollare... Soprattutto, che la manica rimboccata non cali, non sia mai! La tua immagine di leader pragmatico ne riceverebbe un colpo immedicabile. E del resto, fra un po' ti toccherà far la spesa con la carriola, utensile che, notoriamente, mal si sposa coi gemelli da polso...
Segue naturalmente smentita di Balduzzi: "Abbiamo scherzato".
Due considerazioni.
La prima è che, come ho cercato di far capire a "L'Ultima Parola" - ma forse sono stato poco efficace - questo tipo di gaffes, come quelle della Fornero, non sono manifestazione di spocchia o ingenuità comunicative, oh no no no, tutt'altro, tutt'altrissimo! Sono invece ben precise, scientifiche, strategie comunicative mirate. Si comincia a far entrare nella testa della gente l'idea che si vuole far attecchire, col principio della vaccinazione. C'è la prima dose, che magari fa venire una piccola reazione allergica - la 'zdora si adonta - poi ce ne sarà una seconda, una terza, magari aiutate da un piccolo innalzamento dello spread... E la pillola va giù... ma a pagamento!
La seconda è che questo è l'ennesimo quod erat demonstrandum. Il valvassino vuole vendere il nostro paese pezzo per pezzo. E la sanità privatizzata offre ghiotte opportunità per i capitali esteri. Lui dice che sarebbero attirati, questi capitali, dalle nostre politiche di ricerca e di sviluppo - sottinteso: se faremo i bravi, se faremo le politiche giuste, saremo premiati... dalla vendita delle nostre aziende! Andate a dire a un imprenditore che se fa un brevetto deve vendere la sua azienda! Geniale, nemmeno il pezzo di Totò davanti alla fontana di Trevi raggiunge questa comicità. Il problema è un altro. Il problema è che all'estero la nostra sanità pubblica interessa perché molta ricerca, noi, l'abbiamo già fatta, e il nostro sistema non è così disastrato e insostenibile come il Governo vuole far credere. Anzi. Ci sono note eccellenze mondiali, strutture che funzionano, e che possono, se privatizzate, fare bei profitti, da rimpatriare all'estero aggravando la voce "redditi netti" delle partite correnti.
Siccome qualcuno che non ci crede in giro si trova, qualcuno che pensa che la nostra sanità sia da tagliare, da amputare in toto, per consentirvi una valutazione spassionata ed informata riposto qui un utilissimo lavoro di Stefania Gabriele. La ringrazio per avermi dato questa opportunità. Alcuni di voi lo conosceranno, perché è stato pubblicato in Oltre l'austerità. Ho pensato che un ripasso non fosse inutile. Enjoy irresponsibly!)
Segue naturalmente smentita di Balduzzi: "Abbiamo scherzato".
Due considerazioni.
La prima è che, come ho cercato di far capire a "L'Ultima Parola" - ma forse sono stato poco efficace - questo tipo di gaffes, come quelle della Fornero, non sono manifestazione di spocchia o ingenuità comunicative, oh no no no, tutt'altro, tutt'altrissimo! Sono invece ben precise, scientifiche, strategie comunicative mirate. Si comincia a far entrare nella testa della gente l'idea che si vuole far attecchire, col principio della vaccinazione. C'è la prima dose, che magari fa venire una piccola reazione allergica - la 'zdora si adonta - poi ce ne sarà una seconda, una terza, magari aiutate da un piccolo innalzamento dello spread... E la pillola va giù... ma a pagamento!
La seconda è che questo è l'ennesimo quod erat demonstrandum. Il valvassino vuole vendere il nostro paese pezzo per pezzo. E la sanità privatizzata offre ghiotte opportunità per i capitali esteri. Lui dice che sarebbero attirati, questi capitali, dalle nostre politiche di ricerca e di sviluppo - sottinteso: se faremo i bravi, se faremo le politiche giuste, saremo premiati... dalla vendita delle nostre aziende! Andate a dire a un imprenditore che se fa un brevetto deve vendere la sua azienda! Geniale, nemmeno il pezzo di Totò davanti alla fontana di Trevi raggiunge questa comicità. Il problema è un altro. Il problema è che all'estero la nostra sanità pubblica interessa perché molta ricerca, noi, l'abbiamo già fatta, e il nostro sistema non è così disastrato e insostenibile come il Governo vuole far credere. Anzi. Ci sono note eccellenze mondiali, strutture che funzionano, e che possono, se privatizzate, fare bei profitti, da rimpatriare all'estero aggravando la voce "redditi netti" delle partite correnti.
Siccome qualcuno che non ci crede in giro si trova, qualcuno che pensa che la nostra sanità sia da tagliare, da amputare in toto, per consentirvi una valutazione spassionata ed informata riposto qui un utilissimo lavoro di Stefania Gabriele. La ringrazio per avermi dato questa opportunità. Alcuni di voi lo conosceranno, perché è stato pubblicato in Oltre l'austerità. Ho pensato che un ripasso non fosse inutile. Enjoy irresponsibly!)
Politiche
recessive e servizi universali: il caso della sanità
Stefania Gabriele
Le politiche di austerità, imposte per
adeguarsi ai vincoli europei e per corteggiare la fiducia dei mercati, vengono
presentate spesso come misure di “riordino”, di riduzione degli sprechi, di
razionalizzazione. Non vi sarebbe dunque alcun dubbio sulla loro utilità e
condivisibilità, eccettuate le reazioni contrarie delle categorie di volta in
volta colpite, le quali peraltro non farebbero che difendere interessi particolari.
La retorica della “spending review” è proprio questa: il comunicato
stampa del Consiglio dei Ministri del 5/7/2012 afferma che
“La riduzione della spesa non incide in alcun modo sulla quantità di servizi
erogati dalle pubbliche amministrazioni a favore dei cittadini ma mira a
migliorarne la qualità e l’efficienza”[1].
Difficile capire come possa migliorare la qualità se le risorse risparmiate non
sono reinvestite nello stesso settore. Forse si confida molto nella capacità di
ottimizzare la regolamentazione attraverso provvedimenti adottati in fretta e
in emergenza.
Impostazioni di questo tipo vanno analizzate
con attenzione, perché nel proporle spesso si mescolano intenzioni diverse: la
denuncia di inefficienze e corruzione, ma anche l’obiettivo di ridimensionare
il perimetro dell’intervento pubblico, il preconcetto sulla maggiore efficienza
- e supposta migliore qualità - dei servizi privati, a volte gli interessi di
chi gestisce questi ultimi.
In ogni caso il rischio che si corre è
che vengano eliminati alcuni servizi pubblici essenziali o che ne venga messa
in discussione l’universalità; quando le fasce medio-alte sono estromesse dal
servizio pubblico, poi, diventa difficile finanziarlo e mantenerne la qualità.
Un approfondimento sugli effetti delle
recenti manovre nel settore della sanità – a partire da alcune caratteristiche
basilari del SSN (Servizio Sanitario Nazionale) - può essere utile a
comprendere le possibili conseguenze concrete delle politiche in atto.
1. La spesa per la sanità
In Italia, è quasi un luogo comune che
SSN sia sinonimo di deficit, sforamenti, sprechi. E’ vero che il sistema
sanitario pubblico ha avuto problemi di controllo della spesa fin dalla sua
istituzione (L.83/1978), con sistematici sfondamenti (in media del 10% tra il
1980 e il 1992), le cui cause sono state individuate essenzialmente nella discrasia
tra responsabilità del finanziamento (centrale) e della spesa (regioni), in un
sistema universalistico e comprensivo basato sui diritti (garantiti dalla
Costituzione), caratterizzato da un
forte dislivello territoriale[2].
Paradossalmente tuttavia, mentre sul palcoscenico del SSN si sono visti
rappresentati gli infiniti atti del “dramma” del deficit sanitario, con accuse
reciproche e alleanze variabili tra personaggi e interpreti (i livelli di
governo, le regioni, gli erogatori delle prestazioni, i pazienti, i sindacati),
le risorse pubbliche complessive allocate alla sanità non sono mai state elevate.
La figura 1 mostra come la spesa, sia pubblica (7,4%) sia totale (9,5%), sia
inferiore in Italia rispetto alla Germania, alla Francia, ma anche al Regno
Unito. Si osservi che gli Stati Uniti, che hanno un sistema privato, allocano il
17,4% del proprio PIL ai servizi sanitari, e che oltreoceano la stessa componente
pubblica della spesa è superiore a quella italiana, malgrado i 47 milioni di
americani privi di qualunque copertura sanitaria[3]. Da
tempo si è evidenziato peraltro come i sistemi sanitari privati siano più
costosi di quelli pubblici[4].
Anche in termini pro-capite il nostro
Paese presenta esborsi contenuti (Figura 2). Soffermandosi sulle uscite pubbliche
correnti, osserviamo che la Germania spende un terzo più di noi, gli Stati Uniti
il 57% in più. Possiamo inoltre ricordare che la Grecia – sulla cui attuale,
sconfortante situazione sanitaria torneremo più oltre -, nel 2007 (ultimo dato
disponibile), spendeva il 22% meno dell’Italia, il 41% meno della Germania.
Gli allarmi sull’andamento della spesa
sanitaria appaiono tanto meno condivisibili alla luce degli sviluppi degli
ultimi anni, di cui conviene ripercorrere rapidamente le tappe.
2. La governance
del SSN nel XXI secolo
Negli
anni 2000 (a partire dal decreto-legge n. 347/2001, attuativo
dell’Accordo Stato Regioni dell’8 agosto 2001) la governance del SSN si è svolta attraverso un impegnativo processo
di negoziazione tra il governo centrale e le regioni, in uno sforzo di
individuare le responsabilità reciproche, di migliorare il controllo sulla
spesa e la disponibilità e coerenza delle informazioni sui flussi finanziari e
sui livelli di assistenza erogati. La normativa che ne è scaturita, volta a regolare
il SSN, il monitoraggio dei progressi nella gestione dei servizi regionali e i
rapporti tra regioni e governo centrale, è molto complessa e dettagliata. Per menzionare
solo i passaggi più importanti, si ricorda che con l’Intesa del 23 marzo 2005
le regioni deficitarie sono state obbligate a definire un piano di rientro e ad
applicare una serie di misure, contrattate col governo, per rimettere in
equilibrio i conti. Negli anni successivi circa metà delle regioni è stata
sottoposta a piano di rientro. E’ stata poi introdotta la possibilità di commissariamento
in caso di mancata predisposizione e attuazione del piano (viene nominato Commissario
ad acta[5] il
Presidente della regione, eventualmente
affiancato da uno o più sub-commissari). All’obbligo del piano di rientro si
sono inoltre aggiunti altri meccanismi sanzionatori/correttivi: aumenti
automatici dell’addizionale IRPEF e dell’aliquota IRAP, blocco del turn over del personale, divieto di
effettuare spese non obbligatorie per un biennio, e in alcuni casi sospensione
dei trasferimenti erariali non a carattere obbligatorio e decadenza dei
direttori generali. Oggi poi, se il piano di rientro non è attuato, può intervenire
il Consiglio dei ministri con poteri sostitutivi e scatta un ulteriore aumento delle
aliquote[6].
Nel
tempo tutto questo processo[7], che
nasceva come attuazione del decentramento/federalismo in un settore
particolarmente delicato[8],
si è trasformato in un meccanismo di controllo sempre più stretto del governo
centrale sulle regioni – in particolare quelle deficitarie – per monitorarne i
progressi dal punto di vista finanziario e, da ultimo, anche da quello
dell’effettiva garanzia dei LEA (livelli essenziali di assistenza)[9]. Anche
l’operazione di introduzione del federalismo fiscale può essere letta in questa
chiave[10].
Si è parlato molto di costi standard per il finanziamento delle spese degli
enti territoriali, ma il decreto attuativo della legge delega 42/2009 (sul
federalismo fiscale) ha in realtà sostanzialmente confermato il meccanismo in
atto di fissazione e ripartizione delle risorse. La determinazione di queste
ultime rappresenta una decisione politica assunta in base al quadro
macroeconomico complessivo, ai vincoli di finanza pubblica e agli obblighi
europei, sia pure d’intesa con le regioni.
La coerenza con il fabbisogno che discende dai LEA si traduce essenzialmente
nell’assicurare un finanziamento pro-capite ponderato[11] uniforme
a tutte le regioni.
Intanto
si va avanti con i piani di rientro. Questi contengono una serie di misure che
in passato erano state già adottate, in larga misura, dalle regioni con i conti
in ordine. Vale la pena di ricordare alcuni di questi provvedimenti, per
evidenziarne la rilevanza: definizione dei requisiti minimi delle strutture
pubbliche e private che erogano servizi sanitari, accreditamento dei soggetti per
divenire erogatori del SSN, stipula di contratti con i fornitori (con budget o
tetti di spesa), riorganizzazione della rete ospedaliera con chiusura dei
piccoli ospedali e riduzione dei posti letto, in particolare per acuti, ristrutturazione
dell’assistenza territoriale, revisione e centralizzazione delle procedure per
l’acquisto di beni e servizi, interventi sulla gestione del personale,
interventi sulla spesa farmaceutica[12],
accorpamenti di ASL, miglioramento della trasparenza delle scritture contabili,
controlli sull’appropriatezza delle terapie, piani socio-sanitari, riorganizzazione
delle reti di erogazione e cura. Si tratta dunque di interventi di ampia
portata, alcuni sicuramente “draconiani” (si pensi a quelli sul personale, che
pure in alcuni casi contrastano una gestione troppo negligente del passato) e
controversi (come la soppressione dei piccoli ospedali), altri rivolti a contenere le pretese degli
erogatori privati e a migliorare il rapporto costo-efficacia, alcuni anche mirati
a riqualificare il servizio, spostando le prestazioni dall’ospedale al
territorio, dal trattamento dell’acuzie al socio-sanitario, riorganizzando la
gestione.
Dal punto di vista del controllo della
spesa tutto il processo descritto ha assicurato significativi risultati: il disavanzo, pari al 5,1% del
finanziamento nel periodo 2001-2005 (lo 0,31% del Pil), è calato fino al 3% nel
biennio 2008-9 e all’1,6% nel 2011 (Relazione
generale sulla situazione economica del Paese, 2011).
Il Lazio ha ridotto disavanzo del 47% nel 2011 rispetto al 2007, la Campania
del 71%, la Sicilia dell’83%, la Puglia del 62%.
Lo scorso anno la spesa sanitaria (pari
a 112.889 milioni, sostanzialmente costante in valore assoluto rispetto al 2010
al netto di cambiamenti nel metodo di contabilizzazione di alcune voci) è
calata di un decimo di punto di PIL (al 7,1%). Il disavanzo nel 2011 si è
fermato a 1,8 miliardi di euro (contro 2,2 nel 2010); le perdite (riscontrate
in Liguria, Lazio, Molise, Campania, Puglia, Basilicata, Calabria, Sicilia e
Sardegna) sono state pari a 1,9 miliardi di euro.
La Corte
dei Conti, nel Rapporto 2012 sul coordinamento della finanza
pubblica, ha fatto notare che il risultato è stato migliore delle attese per oltre
2,9 miliardi rispetto al pre-consuntivo indicato nella Relazione al Parlamento
del dicembre scorso. Inoltre, il miglioramento ha riguardato per lo più le
regioni tradizionalmente più in difficoltà: per quelle con piano di rientro il
disavanzo si è ridotto quasi del 37% (a 1,2 miliardi), e solo la Calabria si è
mossa nella direzione opposta, mentre per le altre si è avuto un peggioramento
del 2,5%.
Di fronte a questi risultati, appare
condivisibile quanto affermato dalla Corte dei Conti nel rapporto sopra citato:
“E’ indubitabile, tuttavia, che quella sperimentata in questi anni dal settore
sanitario rappresenti l’esperienza più avanzata e più completa di quello che
dovrebbe essere un processo di revisione della spesa”. Eppure a quanto pare
tutto questo non basta. Prima di esaminare le manovre che si sono abbattute su
un sistema già sotto pressione, vale la pena di soffermarsi un poco sugli
aspetti relativi alla qualità del SSN.
3. La qualità del SSN
Riprendendo alcuni indicatori riportati in
un fiero intervento a difesa del SSN (Mapelli,
2012), ricordiamo che in Italia la speranza di vita è pari a 81,8 anni (la più
alta nel mondo dopo il Giappone e la Svizzera), il tasso di mortalità
standardizzato si ferma a 483,3 per 10mila abitanti, ed è uno dei più bassi (4°
posto nel mondo). E’ vero che su queste evidenze il sistema sanitario incide in
misura minore, in quanto contano molti altri fattori ambientali e sociali, le abitudini
alimentari e i comportamenti. Tuttavia va aggiunto che la speranza di vita in
assenza di disabilità in Italia arriva a 74 anni (3° posto nel mondo), che gli
anni di vita persi per morte prematura o svalutati per la disabilità sono pari
a 8.985 per 100mila abitanti (2° posto) e che la mortalità attribuibile al
sistema sanitario è di 65 decessi evitabili per 100mila abitanti (3° posto; la
Germania si colloca al 16°, il Regno Unito al 19°; gli Stati Uniti al 24°). Gli
ultimi indicatori offrono evidentemente alcuni indizi interessanti sulla
qualità del SSN, anche se non bisogna sopravvalutarne il significato, dal
momento che i dati utilizzati per calcolarli possono non essere del tutto
affidabili e comunque è necessaria molta prudenza nell’interpretazione,
soprattutto se si intende valutare le performances
relative dei diversi sistemi di cure. Tuttavia le rilevazioni oggettive
mostrano un quadro migliore di quello che spesso emerge dalle indagini sulla
soddisfazione, di solito bassa, ma più alta tra chi ha fatto uso dei servizi
ospedalieri (soprattutto per servizi medici e infermieristici, con l’88% degli
intervistati molto o abbastanza soddisfatti, contro il 68% per il vitto e il
78% per i servizi igienici). In ogni caso l’85% degli italiani dichiara di non
volere un sistema sanitario diverso dal SSN.
Quando il Rapporto dell’OMS del 2000 classificò
il SSN al secondo posto nel mondo, il National Health Service del Regno Unito
al 18°, e il sistema degli Stati Uniti
al 37°, ampio fu lo scetticismo da parte degli anglosassoni, ma anche degli
osservatori italiani. Eppure non c’è stato, nel nostro Paese, lo stesso scetticismo
sui risultati del PISA, l’indagine OCSE sulle competenze degli studenti
quindicenni (che colloca l’Italia al 22° posto per la lettura, al 25° per la matematica
e al 26° per le scienze), risultati che andrebbero considerati invece con molta
prudenza. Di PISA si è fatto invece largo uso per riproporre il tormentone
sull’ «emergenza educativa» e la necessità della «riforma» della scuola, tradottasi
poi soprattutto in tagli di risorse e di insegnanti e riduzione del tempo
scuola.
Con tutto questo non si intende
sottovalutare i problemi del SSN, un sistema che da sempre è «a macchie di
leopardo», con enormi differenze a livello territoriale nelle strutture, nei
servizi forniti, nelle capacità amministrative (ma anche con ampi divari
qualitativi nell’ambito della stessa regione e, a volte, dello stesso ospedale).
Per farsi un’idea basta guardare alcuni indicatori prodotti nell’ambito del
monitoraggio dei LEA ( Ministero
della salute, 2011): il tasso di ospedalizzazione oscilla
tra il 149/1000 in Toscana e il 224/1000 in Campania; i parti cesarei
rappresentano circa il 30% del totale al nord, ma arrivano al 62% in Campania;
il trattamento tempestivo della frattura femore viene garantito in più della
metà dei casi nelle Marche e in Toscana, in poco più del 20% nel Lazio, in
Campania e in Sicilia; i test di screening delle patologie oncologiche
interessano il 15% della popolazione in
Toscana, appena l’1% in Liguria, Sicilia e Sardegna; la quota di ultrasettantacinquenni
che ottiene l’assistenza domiciliare integrata è pari al 14% in Emilia Romagna,
all’1,3% in Calabria.
Inoltre, i casi di sprechi e
inappropriatezza sono diffusi, non sempre gli enti gestori appaiono in grado di
resistere alle pressioni degli erogatori, se non della criminalità organizzata
(e questo non solo nel Mezzogiorno, stando a quanto sta emergendo da recenti
indagini della magistratura, compresa l’antimafia), la contabilità manca a
volte di trasparenza: la Corte
dei Conti riporta la presenza di «frequenti episodi di
corruzione a danno della collettività denunciati nel settore», «malaffare» e osserva
che in Calabria, ad esempio, a fronte di 1,5 miliardi di debito pregresso attestato
sono emersi più di 0,7 miliardi di insussistenze, voci da approfondire e «non
riconciliate» e in Campania sono presenti nel debito partite da regolarizzare.
In questa complessa situazione si
innestano i tagli della spesa pubblica sanitaria decisi per sottostare ai
vincoli europei.
4. Le manovre di rientro
Con
la manovra del luglio 2011 (decreto 98/2011) sono stati pianificati 2,5 e 5,45
miliardi di risparmi rispettivamente per il 2013 e il 2014, da realizzare
attraverso misure da definire in accordo con le regioni. In assenza di accordo
sono previsti aumenti della compartecipazione alla spesa e tagli automatici in
relazione alla farmaceutica (che si sovrappongono a quelli del decreto 78/201,
pari a 600 milioni[13])
e agli acquisti di beni e servizi, di dispositivi medici e di prestazioni (con
l’introduzione di un prezzo di riferimento). Inoltre, il decreto ha prorogato
precedenti misure di contenimento della spesa per il personale; queste si addizionano
al blocco dei contratti collettivi nazionali per il 2010/2012, che ha garantito
1,1 miliardi di risparmi su base annua (decreto 78/2010). Ancora,
è stato
introdotto il ticket di 10 euro per ricetta su visite ed esami specialistici
(800 milioni a regime).
Il decreto legge 95/2012 del 6 luglio
scorso tocca il SSN con riduzioni di spesa per quasi 1 miliardo di euro nel
2012 e circa 2 miliardi annui dal 2013[14].
I risparmi dovrebbero essere realizzati in buona misura rivedendo al ribasso la
spesa e i contratti per acquisto di beni e servizi, dispositivi medici,
prestazioni acquisite dai privati accreditati e rivedendo lo sconto a carico
delle farmacie; si interviene ancora sui tetti di spesa e sulle procedure di
acquisto, mentre saranno determinate centralmente le tariffe massime per le
strutture accreditate. Inoltre viene ridefinito lo standard di posti letto (per
il 40% a carico delle strutture pubbliche) e sono prorogate fino al 2015 le
misure di contenimento della spesa per il personale. I più colpiti dall’ultima
manovra sembrerebbero essere i fornitori delle prestazioni, che subiranno
revisioni dei contratti (sono ammessi addirittura recessi in deroga al codice
civile nel caso di prezzi superiori del 20% a quello individuato come
riferimento) e un ridimensionamento del fatturato, mentre la filiera del
farmaco dovrà assicurare ulteriori sconti e cambieranno i meccanismi di
rimborso degli sforamenti. Tuttavia, il testo del decreto richiede per il 2012
una riduzione del 5% degli importi e delle connesse
prestazioni previsti nei contratti di fornitura di beni e servizi, nonché degli
importi e dei volumi delle prestazioni specialistiche e ospedaliere acquistate
da privati accreditati. Appare molto probabile che la ricontrattazione e i
tagli debbano sacrificare anche le quantità, e dunque i servizi forniti. La
reazione, molto negativa, delle regioni di fronte a questa manovra è motivata peraltro
anche dal fatto che le misure sembrano esplicarsi in molti casi, di fatto, in
tagli lineari, che applicano le stesse regole a tutti i tipi di contratto e a
tutte le regioni, come se non fosse in atto da tempo un processo faticoso e non
uniforme di progressivo aumento dell’efficienza. Per questo probabilmente è
stato disposto che le misure possano essere riviste, a parità di effetti sul
bilancio, attraverso la stipula del nuovo Patto per la salute 2013-15 entro il
31 luglio 2012. Tuttavia il tempo è poco e i risparmi da realizzare non
irrilevanti: complessivamente, tutte le manovre ridurranno la spesa a regime in
base annua di circa 10 miliardi.
E’
possibile che tutti questi interventi si traducano veramente in riduzioni di
sprechi e aumento dell’efficienza, senza mettere in discussione l’accesso
fisico ed economico dei cittadini alle cure?
5. Gli effetti delle manovre.
In ogni caso ci vorrà del tempo perché tutte
le manovre adottate o programmate esplichino i loro effetti. Questi peraltro si
sovrapporranno a quelli dovuti alla crisi economica. Seguendo France, Gabriele e Neri (2012), proviamo a ipotizzare
quanto serie potranno essere le conseguenze dei tagli e della recessione.
In primo luogo si osserva che, stando
alla letteratura disponibile, tra livello del PIL e stato di salute della
popolazione nei diversi paesi esiste sicuramente una relazione diretta (la
cosiddetta curva di Preston), ma i rapporti di causalità sono incerti, e
potrebbero essere altri fattori a spingere entrambe le variabili, ad esempio la
qualità delle istituzioni; inoltre la relazione per i paesi sviluppati è
debole, forse perché dopo la transizione demografica ed epidemiologica dalle
malattie infettive e contagiose a quelle cronico-degenerative non sono
programmi, come le vaccinazioni, di ampia portata e di basso costo a migliorare
la salute, ma gli investimenti, spesso costosi, per migliorare la qualità di
vita delle persone anziane. Comunque, la relazione tra variazione del reddito e
dello stato di salute nel tempo è incerta, e anche se c’è condivisione sui
risultati degli studi individuali che verificano come la mortalità sia maggiore
tra i disoccupati e individuano lo status socio-economico come una delle
determinanti dello stato di salute, la questione degli effetti aggregati
durante le recessioni è molto più controversa - anche se probabilmente alcuni
gruppi di popolazione (soprattutto le fasce più disagiate) sono più esposti.
Guardando ad alcune esperienze concrete,
emerge infatti che le cose non sono andate sempre allo stesso modo (Unicef –
ICDC, 1994). Ad esempio, tra i paesi in transizione dal socialismo reale all’economia
di mercato si sono avuti fenomeni diversi: in alcuni (come Russia, Estonia,
Lituania) si è verificato addirittura un cambiamento delle tendenze
demografiche, con un aumento del tasso di mortalità, una riduzione della
fertilità e della contrazione di matrimoni, mentre in altri i problemi sono
stati molto meno drammatici (Polonia, Repubblica Ceca, Slovacchia) e duraturi
(Golinowsaka et al., 2006). Anche il caso degli Stati Uniti durante la Grande
Depressione (Unicef-ICDC, 1994) è stato
meno grave di quanto ci si potrebbe aspettare: il tasso di mortalità ha
continuato sostanzialmente a migliorare - tranne che per gli uomini nella
fascia 55-64 anni, tra cui si sono verificati omicidi, suicidi, ulcere,
distruzione delle famiglie e crollo dell’autostima -, anche se poi è aumentato
nel periodo immediatamente successivo (1933-36). Mentre in quest’ultimo caso
avrebbero influito positivamente le condizioni epidemiologiche e tecnologiche,
con la diffusione di alcuni antibiotici e di altre innovazioni (e secondo
alcuni anche il proibizionismo), per un paese come la Russia nella fase della
transizione, oltre all’incremento della disoccupazione e della povertà, all’aumento
dell’alcolismo e al degrado dei servizi sanitari, sarebbe stato esiziale
l’aumento dello stress psicologico, legato a sua volta anche agli
stravolgimenti istituzionali che si sono verificati.
Le notizie che giungono dalla Grecia non
sono rassicuranti (si veda France
e Gabriele, 2012): per ricordare solo qualche dato, si
stanno verificando forti tagli ai bilanci degli ospedali (40%), proprio mentre
aumentano i ricoveri nel settore pubblico e diminuiscono nel privato; aumenta l’uso,
da parte dei greci, delle street clinics
gestite dalle NGOs, precedentemente utilizzate essenzialmente dagli immigrati
(dal 3-4% prima della crisi al 30% in seguito); aumentano drasticamente i suicidi;
si riscontrano diffusi problemi di
denutrizione tra i bambini e condizioni di vita malsane, ritorno del lavoro
minorile.
Quanto
all’Italia, le condizioni epidemiologiche (con il rapido invecchiamento) ed il
livello della tecnologia non fanno sperare che i tagli di spesa possano essere
ampiamente compensati da una più mirata allocazione delle risorse verso
interventi ad ampia efficacia e poco costosi, come è successo durante la grande
depressione negli Stati Uniti. Tuttavia, un aumento dell’appropriatezza e una
riduzione degli sprechi sono possibili, come si è cercato di dimostrare sopra.
La questione è se il processo di miglioramento del rapporto costo-efficacia dei
servizi – già in corso da tempo, come si è visto - possa essere accelerato tanto
quanto richiesto. Non si può non condividere lo sforzo di accrescere
l’appropriatezza dei trattamenti, di ridurre la fascia di oscillazione dei
prezzi di acquisto dei beni intermedi e delle prestazioni. Tuttavia, è difficile
evitare l’impressione che interventi ulteriori rispetto ai percorsi di
riequilibrio finanziario e garanzia dei livelli essenziali possano avere
l’effetto del passaggio di un elefante in un negozio di cristalli. Le manovre preoccupano
infatti sia per l’entità complessiva dei risparmi richiesti, sia per il rischio
che l’emergenza porti ad agire in maniera grossolana, rispetto al lavoro di
fino compiuto fino ad oggi nel settore. E comunque resta il fatto che le
economie di spesa sarebbero desiderabili se le risorse recuperate fossero
riallocate al settore, o fossero dirette ad ampliare quei servizi
socio-sanitari di cui in Italia vi è grande carenza (Caruso
e Dirindin, 2012); porle a riduzione del disavanzo, invece,
oltre a impedire una vera riqualificazione delle prestazioni, produce effetti
recessivi, colpendo i consumi pubblici (domanda da parte del SSN) ed eventualmente
privati (attraverso gli aumenti delle compartecipazioni).
Vi
sono poi gli aumenti delle compartecipazioni, che possono provocare problemi di
equità e di accesso[15].
In particolare, il cosiddetto “superticket” sulla specialistica appare molto discutibile
sia perché le quote a carico dei cittadini per questo comparto erano già
piuttosto elevate[16] (e non tutti i soggetti
economicamente deboli hanno diritto all’esenzione), sia perché la sua
introduzione favorisce la fuoriuscita verso il privato, che in molti casi diventa
più conveniente (Dirindin,
2011).
Secondo
l’indagine EU-SILC (Eurostat, 2012) i bisogni insoddisfatti di visite mediche
per barriere di accesso sono aumentati del 13% nel 2009 rispetto al 2007, per
ridimensionarsi un poco nel 2010 (-5%), quando si è avuta una breve ripresa,
mentre quelli motivati dal costo eccessivo hanno toccato l’8,9% nel 2008 nel
primo quintile di reddito (il 20% di famiglie più povere), per calare poi al 7,2%.
Per
quanto riguarda l’accesso fisico, va ricordato inoltre che il monitoraggio dei
LEA mostra un peggioramento nel 2009/2010, con sei regioni che risultano
inadempienti nel 2010 (Molise, Lazio, Sicilia, Calabria, Campania, Puglia),
contro tre nel 2008 (si veda Corte
dei Conti). Si osservi che le sei regioni inadempienti con riguardo ai LEA
sono tutte in piano di rientro, e nel 2011 hanno presentato tutte un disavanzo.
In parte i tagli richiesti dai piani, insieme alle manovre decise dal governo
centrale, potrebbero aver contribuito a rendere più difficile la garanzia dei
livelli di assistenza, considerando anche che alcune regioni hanno minore
facilità ad integrare il finanziamento centrale con fondi propri, perché
sperimentano peggiori condizioni economiche. Tuttavia è anche vero che spesso
le carenze gestionali provocano difficoltà sia dal lato del controllo dei
costi, sia da quello dell’erogazione delle prestazioni.
L’impatto
della recessione e dei tagli al servizio pubblico diventa devastante, come
mostrano gli esempi sopra riportati, quando si verifica un forte aumento dello
stress sociale; quest’ultimo, a sua volta, aumenta significativamente quando
viene messo in discussione nel suo complesso lo stato sociale e, ancor più, se
si dubita anche della tenuta del sistema istituzionale.
In Italia, in particolare, il SSN ha
svolto in passato un ruolo di “collante” dell’unità nazionale (France, 2001),
per il suo carattere di servizio essenziale da difendere ad ogni costo, e
questa è tra l’altro una delle ragioni per cui sino ad ora è stato difficile
operare forti tagli alla sanità. Pertanto se si percepisse una messa in
discussione generale del SSN l’inquietudine e l’insoddisfazione sociale
potrebbero accrescersi. L’aumento del rischio sociale è evidente in Grecia, ma
sta emergendo prepotentemente anche in Italia, a seguito della maggiore
incertezza, dovuta a sua volta all’aumento della disoccupazione, all’accresciuto
numero di fallimenti di imprese, all’introduzione di maggiore flessibilità del
lavoro, ai tagli alla previdenza e all’assistenza, e in definitiva all’aumento
della probabilità di attraversare periodi di vita durante i quali non viene
percepito un reddito. Un segnale preoccupante, anche se ancora non precisamente
quantificabile, è l’intensità dei suicidi riportati dalle cronache, dovuti a
problemi di disoccupazione, fallimento, indebitamento.
Da ultimo, si è visto che le condizioni
sanitarie della popolazione in altri Paesi hanno risentito gravemente di
terremoti politico-istituzionali. Da questo punto di vista, in primo luogo va
osservato che il continuo rafforzamento delle politiche di rientro dal debito e
dei vincoli europei rende sempre più difficili i rapporti intergovernativi, con
possibile interruzione del processo negoziale e deresponsabilizzazione degli
enti decentrati di spesa, continuamente posti di fronte a tagli non sempre
coerenti e premiali rispetto agli sforzi già attuati.
Ma soprattutto si deve considerare che
sempre più le politiche europee[17] contribuiscono
a mettere in discussione il “diritto al bilancio”[18],
espressione dell’indipendenza di un paese, conquista essenziale di ogni regime
democratico. A meno che tale diritto non venga ripristinato a livello federale
in un’Europa davvero politicamente unita, non si può scontare che questa
operazione sarà senza conseguenze. Si tratta infatti di scardinare alcuni
aspetti fondamentali del nostro sistema, conquistati da molto tempo[19].
Tutto questo mette in serio pericolo la tenuta complessiva delle istituzioni[20],
rischiando di precipitare il nostro Paese in una situazione di “smarrimento”
sociale, politico e istituzionale.
Bibliografia
Commissione
Europea, 1993, La protezione sociale in Europa.
Donzelli
A. (1996), Modelli organizzativi e risultati dei sistemi sanitari nei confronti
internazionali, Istituto per la Ricerca Sociale – Prospettive sociali e
sanitarie, 16-17.
Eurostat (2012), Statistics, Health, March 6,
available on http://epp.eurostat.ec.europa.eu/portal/page/portal/health/public_health/data_public_health/database
France
G. (2001), “Compatibilità fra il federalismo e gli standard sanitari nazionali:
una sintesi delle esperienze estere e possibili lezioni per l'Italia”, in
France G. (ed.), Federalismo, regionalismo e standard sanitari nazionali,
quattro paesi, quattro approcci, Milano, Giuffré editore.
France G., Gabriele S. e Neri S. (2012), Public
Debt-Induced Retrenchment in Italian
Health Care, presentato allo Spring meeting 2012 dell’ European Health Policy Group, Copenhagen, 19-20 aprile.
Health Care, presentato allo Spring meeting 2012 dell’ European Health Policy Group, Copenhagen, 19-20 aprile.
France G., Taroni F. (2005), “The evolution of
health-policy making in Italy”, Journal
of Health Politics, Policy and Law, Vol. 30, Nos 1-2, Febbraio-Aprile.
France G., Taroni F., Donatini (2005), The Italian
health care system, Health Economics, 2005.
Golinowska S., Sowa A., Topòr-Madry R. (2006), “Health
Status and Health Care Systems in Central & Eastern European Contries”, ENEPRI Research Report n. 31, available
at http://www.enepri.org
.
Nitti
F. S. (1907), Scienza delle Finanze, Napoli, L. Pierro.
Pivetti
M. (2011), Le strategie dell’integrazione europea e il loro impatto
sull’Italia, in Paggi L. (a cura di), Un’altra Italia in un’altra Europa, Roma,
Carocci editore.
Unicef-ICDC (1994), “Crisis in mortality, health and
nutrition”, Economies in Transition
Studies, Regional Monitoring Report, n. 2, August, Unicef-ICDC
(International Child Development Center),
Florence.
Von Hagen J. e I. Harden (1994), “National Budget Processes and Fiscal
Performance”, European
Economy Reports and Studies, n. 3.
[1] Anche se nel corso dell’Audizione del Ministro per i
rapporti con il Parlamento Piero Giarda sulle iniziative in materia di spending review sono state elencate quattro
categorie di intervento, via via più drastiche: l’eliminazione degli sprechi,
le innovazioni di natura organizzativa, gli interventi «marginali» sui confini
del settore pubblico, le misure che attaccano i confini del settore pubblico in
modo radicale. Il decreto legge recentemente approvato è titolato “Disposizioni
urgenti per la revisione della spesa pubblica con invarianza dei servizi ai
cittadini”. Forse il peggio deve ancora venire.
[2]Si veda France e Taroni (2005)
per maggiori approfondimenti.
[3] Questo spiega
in parte le ragioni della riforma del sistema sanitario degli Sati Uniti (su
tale riforma si veda Granaglia, 2009).
[4]Si veda ad
esempio Commissione europea (1993), Donzelli, 1996.
[5] Il Commissario ad acta ha poteri diversi dal presidente
della regione e non risponde davanti alla giunta e al consiglio regionale.
[6] D’altro canto, per aiutare le
regioni in difficoltà è stata introdotta la possibilità di usare le risorse del
Fondo per le aree sottoutilizzate per coprire debito sanitario, nonché di ottenere
anticipi e di coprire il disavanzo con risorse di bilancio regionali, mentre
sono impedite per il 2012 le azioni esecutive
nei confronti delle aziende sanitarie e ospedaliere.
[7] Passato per un
gran numero di patti e accordi tra governo e regioni, fino all’ultimo del 3
dicembre 2009.
[8] Delicato perché
la tutela della salute è un diritto essenziale, garantito dalla Costituzione, e
perché la spesa sanitaria rappresenta più del 70% della spesa delle regioni,
dunque la questione investe pesantemente il nodo dei rapporti intergovernativi.
[9] La riforma
costituzionale ha attribuito una competenza legislativa concorrente a stato e
regioni in materia sanitaria. Allo stato spetta la determinazione dei principi
fondamentali e dei LEA da garantire in tutto il paese, attraverso un meccanismo
di equalizzazione delle risorse. I LEA in campo sanitario sono stati definiti
nel 2001 in termini di un elenco di prestazioni (si veda France, Taroni,
Donatini, 2005 per maggiori dettagli).
[11] In effetti, già
da tempo per la sanità era stato superato, almeno formalmente, il criterio
della spesa storica in favore di un finanziamento pro-capite ponderato (principalmente
con i fattori demografici).
[12] Una gestione
più attenta degli acquisti di farmaci, la distribuzione diretta da parte delle
ASL o delle farmacie convenzionate attraverso appositi accordi, la
regolamentazione della distribuzione, l’aumento delle compartecipazioni (secondo Federfarma, queste ultime
sono aumentate di circa il 40% nel 2011, tanto da coprire il 10,7% della spesa,
il 14% in alcune regioni).
[13] Il decreto legge 78/2010 ha disposto
misure concernenti la revisione dei
tetti di spesa, la riduzione delle quote di spettanza della distribuzione, il prezzo
massimo di rimborso per i farmaci equivalenti, le verifiche
sull’appropriatezza, lo spostamento dalla farmaceutica ospedaliera a quella
territoriale. Il decreto 98/2011 prevede revisione dei tetti e copertura degli
sforamenti dei massimali a carico delle imprese.
[14] Il decreto legge 201/2011,
emanato nel dicembre scorso, aveva accresciuto l’addizionale IRPEF (da 0,9 a
1,23) per non anticipare al 2012 i tagli alla sanità previsti per il 2013. Il
sopraggiungere del decreto 95/2012 dà l’idea dell’affanno con cui le manovre si
susseguono e si sovrappongono.
[15]
Prima
della crisi, nel 2007, risultava (Ceis, 2010) che l’1,4% delle famiglie si era impoverito a
causa delle spese sanitarie out of pocket
e che il 4,2% delle famiglie avrebbe dovuto affrontare spese
“catastrofiche” (superiore al 40% della propria capacity to pay)[15].
L’VIII Rapporto Ceis del giugno scorso (sintesi del
rapporto)
valuta che con un aumento del “ticket” di 2 miliardi vi sarebbe un incremento
di 42.000 famiglie impoverite.
[16] Il ticket sulla
specialistica era pari al costo della prestazione fino ad un massimale di 36,15
euro per ogni ricetta (che può indicare fino a otto esami). Sono esenti bambini
fino a 6 anni e anziani oltre 65 con reddito familiare inferiore a 36,150 euro,
disoccupati, pensionati sociali e pensionati al minimo e loro familiari a carico con basso reddito (8.260
euro, aumentato in base al numero dei familiari), gli invalidi civili, di
guerra, per lavoro e per servizio, malati cronici o affetti da malattie rare.
[17]Si pensi alle ipotesi
avanzate per un political compact.
[18]Il diritto al
bilancio originò in Francia e in Inghilterra per rispondere alla richiesta di responsabilizzazione
di fronte a chi pagava le tasse (Nitti, 1907), e poi si è affermato negli stati
con governo costituzionale, coll’estensione del suffragio alle classi popolari,
come controllo del Parlamento e potere di iniziativa anche in materia di spesa.
Dunque il bilancio si è confermato come strumento di controllo democratico
sulle politiche di spesa e sul loro finanziamento (Von Hagen e Harden, 1994).
[19] E’ noto che una
delle ragioni che portarono alla Guerra di Indipendenza americana fu la difesa
del principio “No taxation without representation”.
[20]
Sui
rapporti tra integrazione europea e unità nazionale e tra coesione sociale e
territoriale, sovranità nazionale e forza politico-contrattuale del lavoro dipendente
si veda Pivetti (2011).
Iscriviti a:
Post (Atom)
