Come sapete, i Trattati europei attualmente prevedono che il rapporto deficit pubblico/Pil non debba eccedere il 3%. Su questa regola si innesta dal 1997 il Patto di stabilità e di crescita (la crescita come sapete si è persa per strada, ma passons), secondo cui il deficit pubblico deve tendere a situarsi in una posizione vicina all'equilibrio o in surplus: potremmo chiamarla la regola dello 0%. Non mi dilungo sulle assurdità di un mondo a deficit zero, che nel lungo periodo è necessariamente un mondo a debito zero (sembra una bella cosa, ma non lo è per tanti motivi che qui abbiamo discusso e che ora non ho tempo di ridiscutere). Sapete anche che in vigenza della regola dello 0%, Germania e Francia decisero di violare la regola del 3% (i motivi della violazione da parte della Germania ve li spiegai a suo tempo qui: sostanzialmente, finanziare la madre di tutte le violazioni della concorrenza - sul mercato del lavoro). Non entro qui nemmeno sul diverso rango giuridico delle due regole (ci ha lavorato Giuseppe Guarino, magari con calma facciamo un'analisi di quel tipo: ora mi interessa darvi una prospettiva più economica).
La regole dello 0% in realtà è temperata dal fatto di riferirsi ai saldi di bilancio strutturali. Cosa sono questi saldi strutturali? Senza entrare (per ora) nelle formule, potremmo definirli come saldi corretti per la fase del ciclo economico. Un primo "spiegone" non troppo tecnico lo trovate qui. L'idea (di per sé sensata) è che se si è in fase recessiva, il riferimento allo 0% è controproducente: occorre che lo stato intervenga per sostenere l'economia. La soluzione adottata è quella di considerare ai fini del rispetto delle regole non il saldo nominale, ma quello corretto sottraendo la componente ciclica.
Quest'ultima, a sua volta, è il prodotto di due elementi: il primo è l'output gap, cioè lo scarto fra Pil effettivo e Pil potenziale (in percentuale del Pil potenziale). Cos'è il Pil potenziale? Viene variamente definito come il livello di prodotto raggiungibile in condizioni di piena occupazione delle risorse, o raggiungibile senza creare tensioni sui prezzi. Quindi, è una stima. Il secondo numeretto è anch'esso una stima: la stima della semielasticità del saldo di bilancio all'output gap (cioè: la stima di quanto reagisce "automaticamente" il deficit pubblico al rallentamento o all'accelerazione del ciclo economico, ad esempio per effetto dei cosiddetti stabilizzatori automatici: banalmente, il fatto che se l'economia gira, crescono gli imponibili, cresce la raccolta fiscale e quindi il deficit cala, come pure diminuiscono i sussidi di disoccupazione e quindi il deficit cala, mentre il contrario accade se l'economia non gira).
Il secondo numeretto (la semielasticità) è sempre positivo, mentre l'output gap può essere positivo o negativo.
Se l'output gap è positivo, il Pil effettivo è superiore al potenziale, cioè c'è rischio di tensioni sui prezzi (surriscaldamento dell'economia). In questo caso al saldo di bilancio nominale viene sottratto il prodotto di due numeri positivi (l'output gap e la semielasticità), il che significa che il saldo strutturale è inferiore a quello nominale. In altre parole, in queste circostanze il deficit valutato in termini strutturali è più ampio di quello registrato contabilmente, il che significa che le regole fiscali, tarate sui saldi strutturali, imporranno un percorso più restrittivo.
Se l'output gap è negativo, cioè se il Pil effettivo è inferiore al potenziale (insomma: se siamo in condizioni recessive), il saldo strutturale si ottiene sottraendo a quello nominale il prodotto di un numero positivo (la semielasticità) per un numero negativo (l'output gap), cioè sottraendo una grandezza negativa. Dato che meno per meno fa più, in caso di output gap negativo il deficit (saldo negativo) valutato in termini strutturali sarà inferiore (in valore assoluto) al deficit "contabile", e quindi le regole consentiranno di adottare una politica di bilancio più espansiva.
Per un esempio, vi fornisco un estratto del WEO del 2014 (il primo che mi sono trovato fra le mani), da cui vi mostro output gap e saldo nominale e strutturale dell'Italia (in rapporto al Pil):
Nel 2008 l'output gap era positivo (secondo loro) e quindi nonostante noi rispettassimo la regola del 3% in termini contabili (-2.67), la stavamo violando in termini strutturali (-3.99): insomma: avremmo dovuto essere più formichine, più buon padre di famiglia, e via scemenzando secondo lo stantio repertorio neoliberista (la medicina fa bene solo se è amara, il tetto va riparato prima che piova, ecc.).
Nel 2009 l'output gap era negativo, e quindi, anche se in termini nominali stavamo violando la regola del 3% (-5.41), in realtà in termini strutturali la violazione era più contenuta (-4.2). La famosa "flessibilità" di cui si parla entra in gioco in questo ragionamento. Dato che nel 2009 le condizioni congiunturali erano seriamente compromesse, con un Pil effettivo sotto al potenziale, fra saldo strutturale e saldo nominale c'era un "gioco", un "lasco", uno "spread" di circa 1.2 punti di Pil: una certa flessibilità di bilancio poteva essere tollerata.
Spero che la logica del gioco sia chiara: imporre regole rigide (0%) con applicazione flessibile a seconda delle condizioni del ciclo economico.
Il problema, però, è che, come i veri tecnici sanno (cioè quelli con un minimo di preparazione in econometria e in particolare in analisi spettrale) la determinazione di quale sia la fase congiunturale presente è estremamente complessa sia in termini concettuali che in termini pratici. Le procedure che Bruxelles sceglie per calcolare l'output gap sono tali che, come avrete notato nel documento che vi ho linkato sopra, perfino i documenti della Commissione ne prendono le distanze, e think tank (o più esattamente yes thank) ultraeuropeisti come il Bruegel se ne fanno apertamente beffe. Il fatto che il concetto di output gap (e, a valle, quello di "flessibilità") sia così gelatinoso (wobbly) non impedisce a una simpatica corte di miracoli di politici trombati qui o altrove, di opinionisti da un soldo al mazzo, di esperti di varia estrazione, di articolare su di esso inqualificabili rodomontate contro l'attuale governo italiano. La flessibilità, insomma, per come viene calcolata, è una stima basata sul prodotto fra una stima e una stima, e su nessuna di queste stime (o, più esattamente, delle metodologie su cui si basano) esiste un consenso scientifico nemmeno all'interno del fronte di chi le sta usando per imporci un'agenda politica.
E già qui ci sarebbe da dire.
Peraltro, ho sempre dato atto, anche in aula, a Padoan di aver sollevato questo problema, se pure con eccessivo garbo e quindi con risultati scarsi (dell'ordine dei pochi decimali).
Tanto per farvi capire di cosa si sta parlando, vi propongo il grafico del Pil effettivo e potenziale dal 1980 al 2007 tratti dal WEO di aprile 2007:
e dall'ultimo WEO (quello dell'ottobre 2018):
Notate nulla? Nell'aprile 2007, cioè quando si sarebbe dovuto stilare il DEF per i tre anni successivi, il Pil effettivo risultava inferiore a quello potenziale. L'indicazione che il Pil potenziale forniva nel 2007 era quindi quella di stimolare l'economia. Vista dal 2018, invece, la situazione sembra completamente diversa: il 2007 appare come un anno "sopra" potenziale, in cui l'economia la si sarebbe dovuta rallentare, il che, alla luce della catastrofe che è venuta dopo (nel 2008, con Lehman) sembra quantomeno paradossale.
Da cosa dipende questo paradosso? Lo capiamo se allarghiamo lo zoom prendendo il grafico del Pil effettivo e potenziale fino al 2023, calcolato nell'ottobre scorso (2018):
Le metodologie di calcolo del Pil potenziale sono tali da rendere questa misura una specie di media del Pil effettivo (tecnicamente si parlerebbe di "filtraggio" della serie, e chi è addentro sa che in Europa un pezzo del discorso è l'uso del filtro di Kalman, usato per depurare dal rumore "ciclico" il segnale "strutturale"). I paradossi di questo modus operandi sono molti, e il primo è che, come vedete dall'ultimo grafico, la misura di quale sia il potenziale produttivo di un'economia dipende in modo cruciale da quali siano stati i suoi andamenti passati. In altri termini: se l'economia viene colpita da un forte shock di domanda mondiale (come è accaduto nel 2008-2009), a partire dall'anno successivo la stima di quale sarebbe il potenziale di offerta del paese viene ridotta al ribasso, senza che vi siano, di per sé, particolari motivi per farlo, almeno nel quadro ideologico di riferimento di chi adotta queste regole. Questo quadro di riferimento è, ve lo ricordo, offertista (l'offerta crea la domanda, l'offerta non è condizionata dalla domanda), e fondato sulla razionalità individuale (l'economia è guidata dalle aspettative sui comportamenti futuri degli agenti economici, aspettative che mediamnte risultano corrette). Il paradosso è che i nostri amici razional-offertisti, quando vanno a concepire regole di politica economica, si appoggiano a un quadro statistico che contraddice completamente il loro approccio ideologico, perché in esso la domanda influisce sull'offerta (il Pil potenziale cala se c'è una crisi di domanda) e le valutazioni sono backward looking (la stima del potenziale produttivo futuro cala se in passato è calata la produzione/reddito dell'economia).
Capite perché a me viene da ridere quando mi chiedono (come mi chiederanno): "ma sarà 2.4 o 2.2?".
Il vero problema, qui ed ora, è che è completamente assurdo considerare il 2018 e gli anni ad esso successivi come anni in cui il gap è chiuso (e quindi non può essere concessa al nostro paese flessibilità di bilancio, perché altrimenti finiremmo "sopra potenziale" surriscaldando l'economia). Insomma: è assurdo considerare come strutturale una disoccupazione prossima alle due cifre, che è poi l'ovvio risultato che si ottiene se si vuole portare vicino allo zero un saldo strutturale costruito con riferimento a simili stime del potenziale, stima che incorporano, perpetuandola, quella divergenza dal percorso di lungo periodo di cui vi ho parlato qui.
Notate bene: visto che il Pil potenziale è così influenzato dai risultati passati, ne consegue che chi rispetta le regole, riportando rapidamente il saldo di bilancio sotto controllo (come noi abbiamo fatto in particolare con Monti), si fa male due volte: una subito (cioè nel 2012, e ce ne siamo tutti accorti), e una in futuro (cioè oggi), quando nel suo "potenziale" di crescita verrà incorporato lo shock negativo che il rispetto delle regole non ha consentito di attutire. Chi ha fatto il furbo, come la Francia, invece ora è avvantaggiato, perché il suo potenziale sembra più alto del nostro, il che significa che a parità di recessione qui e lì, a loro può essere concessa maggiore flessibilità oggi perché se la sono presa ieri.
Chiaro?
Ecco: spero di avervi avvicinato meglio al fantastico mondo delle regole. Ora sapete con chi avete a che fare.
State saldi (in senso morale, non strutturale). La storia non perdona l'irrazionalità. Non cedete alle provocazioni, non credete alla propaganda, e sostenete chi porta una voce di razionalità nel dibattito.
L’economia esiste perché esiste lo scambio, ogni scambio presuppone l’esistenza di due parti, con interessi contrapposti: l’acquirente vuole spendere di meno, il venditore vuole guadagnare di più. Molte analisi dimenticano questo dato essenziale. Per contribuire a una lettura più equilibrata della realtà abbiamo aperto questo blog, ispirato al noto pensiero di Pippo: “è strano come una discesa vista dal basso somigli a una salita”. Una verità semplice, ma dalle applicazioni non banali...
Visualizzazione post con etichetta PIL. Mostra tutti i post
Visualizzazione post con etichetta PIL. Mostra tutti i post
domenica 2 dicembre 2018
giovedì 17 agosto 2017
La ripresa
Alle 15 sono su Mediaset TgCom24 per parlare della ripresa allo 0.4%. Intanto, ve la faccio vedere:
Oggi siamo dove vedete il puntino rosso. Continuando a crescere dello 0.4%, torneremo al livello di Pil pre crisi nel terzo trimestre del 2021. Abbiamo già parlato di questo tema. Resta quindi da concludere integrando un noto proverbio: chi va piano va sano e va lontano... se ci arriva vivo!
Oggi siamo dove vedete il puntino rosso. Continuando a crescere dello 0.4%, torneremo al livello di Pil pre crisi nel terzo trimestre del 2021. Abbiamo già parlato di questo tema. Resta quindi da concludere integrando un noto proverbio: chi va piano va sano e va lontano... se ci arriva vivo!
sabato 20 agosto 2016
DGP 2 (post ad personam): spettri e corbelli
Le domande si dividono in due: quelle di chi vuole sapere, e quelle di chi vuol far vedere di sapere. Normalmente le prime le pone chi già sa molto. La conoscenza, come sapete, ha un asintoto: Dio. Quindi tutto nessuno può saperlo. Ma conoscere dà dipendenza: chi sa veramente molto, normalmente vuole veramente sapere di più. Chi sa poco, invece, normalmente crede di sapere molto, e si sente in dovere di venire a romperti i corbelli con le sue certezze. Aiutano in questo processo, devastante per la maturazione culturale e quindi democratica della collettività, un paio di illusioni ottiche.
La prima è quella che porta a gerarchizzare i campi del sapere umano in funzione di una loro pretesa o percepita "difficoltà", ovviamente con l'idea che un sapere sia tanto più profondo quanto più difficile. Questa illusione contrasta con quanto chi sa abbastanza conosce della natura e dell'arte, dove in effetti il suggello della profondità è l'apparente semplicità, l'economicità del gesto (in particolare, di quello artistico). Una persona acculturata sa, o dopo un po' comunque apprende, che il sapere profondo sembra semplice. Per i superficiali il sapere profondo sarà sempre quello che sembra complicato.
La seconda, legittima, illusione ottica ha matrice egotista: ognuno di noi sa fare qualcosa, e molti la sanno anche fare bene. Da questo può discendere, in personalità non sufficientemente strutturate, la legittima illusione di saper fare tutto "meglio" degli altri. Ora, non è detto che le cose stiano sempre esattamente così. Naturalmente, in questa illusione c'è del vero. Prendiamo ad esempio gli strumenti musicali. Chi ne suona più di uno sa, perché ci arriva da sé, o perché glielo dice un bravo maestro, che esistono dei "metaconcetti" validi per qualsiasi strumento, e riconducibili comunque sempre tutti a motivi di economia del gesto. Mi ricordo di quando Salvatore Carchiolo mi disse che la mano doveva muoversi sulla tastiera come l'archetto su una corda, e che il movimento della mano doveva essere bello. Quando lo dissi al mio maestro di flauto, Pietro Meldolesi, flautista e violinista, rimase impressionato e ne seguì una interessante discussione che non vi riportò, perché fondamentalmente non credo che ve lo meritiate, ma il cui senso generale era che suonare bene uno strumento forniva delle "metacategorie" spendibili anche nella tecnica di altri strumenti, magari completamente diversi.
Qui siete per di più di un'altra razza: quella delle persone che avendo fatto ingengngneria, e quindi avendo fatto due analisi e altre matematiche, pensano di poter capire l'econometria meglio di uno che invece ha studiato econometria, e quindi ha fatto meno matematica, ma quella che serve allo scopo.
Non è di questa razza andrea (che infatti è un fisico), il quale osserva, a seguito del post precedente, che:
Prima osservazione generalissima: chiunque lavori coi dati per farsi un'idea del meccanismo che li ha generati parte da un'ispezione visuale del loro comportamento. Con gli anni l'istinto si affina, e l'uso di test statistici non fa che confermare l'intuizione estetica (in senso etimologico).
Poi entriamo nello specifico, prendendola un po' larga, per far capire quanto sia in effetti importante capire se i dati siano stati generati da una tendenza deterministica con un po' di noise più o meno autocorrelato attorno, o se invece sono stati generati da una tendenza stocastica, cioè da una passeggiata aleatoria, cioè da un processo con radici unitarie.
Verso l'inizio degli anni '60 gli economisti pensavano di aver risolto il problema della crescita economica. In effetti, il mondo era in rapida crescita, e quindi la crescita, in termini politici, era un non problema. In termini analitici, Solow aveva formalizzato il modello neoclassico di crescita che metteva insieme in modo relativamente coerente una serie di fatti stilizzati rilevanti, facendo contenti un po' tutti, anche i cosiddetti "keynesiani", che in realtà erano allora, come ora sono i neokeynesiani, dei neoclassici con una spruzzatina di celeste addosso (il celeste del partito democratico USA). Guardare al passato, se non al futuro, avrebbe mostrato che la crescita, cioè il lungo periodo, una sua importanza ce l'ha, e che esistevano divergenze tali da porre seri problemi. Ma, naturalmente, la risposta di tutti (di quelli "de destra" come di quelli "de sinistra") era che i problemi si sarebbero potuti risolvere applicando la legge dell'offerta e dell'offerta (geniale lascito alla civiltà occidentale dell'amico Giuseppe Rubino). Il lungo periodo era un problema di produzione/offerta, non di spesa/domanda. Unica voce dissenziente, Tony Thirlwall (discepolo di Kaldor, discepolo di Keynes).
Risolto (male) il problema della crescita, da lì in poi quindi l'agenda della ricerca economica ed econometrica si sarebbe incentrato sul medio periodo, sul ciclo economico, su come gestire senza scosse (eccessive recessioni o espansioni) il percorso magnifico e progressivo dell'umanità verso il benessere. Insomma: l'agenda della ricerca si concentrò sul ciclo economico.
Per andrea (se, come penso, sa l'analisi spettrale): fondamentalmente gli economisti decisero di trascurare le frequenze angolari stagionali (dalla frequenza pi greco, corrispondente a un ciclo di periodo due, in giù: le trovi descritte qui), e naturalmente anche la frequenza zero, che determina quella che il compianto Granger chiamava la forma spettrale tipica di una serie economica, per studiare cosa accade in una banda di frequenza corrispondente a un ciclo di periodicità intermedia, il cosiddetto business cycle period, che si presume sia intorno ai cinque anni (con molta variabilità e ovviamente con una periodicità che dipende dal campionamento dei dati: cinque anni sono venti trimestri...).
Naturalmente, per risolvere il problema del ciclo (economico, altrimenti, come sapete, ci vuole Lines Seta), prima bisogna individuarlo. L'altro ciclo ha dei sintomi piuttosto evidenti: il famoso "in quei giorni", che non è l'incipit di un passo del Vangelo, ma di una pubblicità. Le recessioni sono anche loro, talora, un bagno di sangue, ma, ad esempio, le espansioni no, e quando tutto va bene la gente si distrae e pensa che sarà così per sempre. Datare i punti di svolta della congiuntura economica, e soprattutto quelli superiori, non è quindi una cosa banale.
Inoltre: il ciclo, per definizione, dovrebbe essere una componente stazionaria. Un'onda media, che si sovrappone all'onda lunga della crescita (ma si distingue dalle increspature a frequenza stagionale). La componente ciclica quindi dovrebbe essere quanto meno un processo stazionario in covarianza, e magari anche ergodico, per i noti motivi (cioè perché di ciclo "storico" ne abbiamo uno solo, e momenti di insieme non possiamo calcolarne).
Nota che, in tutto questo, gli economisti l'analisi spettrale non la sanno. Un econometrico allievo di Carlucci, se vuole trovare il ciclo, applica un filtro passa banda, come il filtro di Baxter e King (ma poi ce ne sono stati altri). Un economista farà la cosa più ovvia: interpolerà un trend, e prenderà il residuo, cioè la serie detrendizzata, come stima della componente ciclica della serie: l'operazione che vedi fatta nella Figure 3 riportata dalla fonte delle fonti.
Si capisce subito cosa c'è che non va, no?
Se facciamo questa operazione sulla serie trimestrale del Pil da 1970q1 a 2016q2 il risultato, ovviamente, è questo:
Qui hai in rosso i dati, in verde il trend e in blu il residuo, cioè la serie detrendizzata. Sembra che ci sia un'unica onda, con un picco poco dopo il 2000. Ma l'Italia non ha avuto un unico ciclo economico. Tu dirai: "Questo è un risultato spurio dovuto al fatto che il processo ha cambiato struttura". Forse. Allora vediamo cosa succede se la stessa operazione la facciamo prendendo i dati fino a 2008q2:
Ecco: qui si ragiona: si vede una serie di onde cicliche, con un primo picco nel 1974, un primo cavo (recessione) nel 1975, ecc. Abbiamo trovato il ciclo.
Sarà stazionario in covarianza?
No. Te lo dico prima di fare il test perché io so (come Pasolini):
E in effetti l'ipotesi di radice unitaria (marginalmente) non può essere rifiutata...
(...in realtà te sto a cojonà, e se ti accorgi di dove potrebbe essere il trucco sei bravo...)
Quindi? Quindi il Pil non è una tendenza deterministica "con un po' di noise intorno" nemmeno prima dello sfracello del 2008, e questo, peraltro, i dati ce l'avrebbero detto:
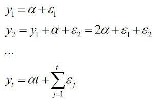
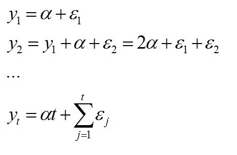
Tuttavia nel DGP del Pil una tendenza deterministica c'è: convive felicemente con una tendenza stocastica, perché il DGP è di tipo random walk with drift:
e quindi, se immagini di essere all'origine dei tempi, con una condizione iniziale pari a zero, succederà una cosa di questo tipo:
L'accumulazione delle intercette (diverse da zero, il drift del processo) genera una tendenza deterministica, e l'accumulazione dei noise incorrelati genera una tendenza stocastica. Puoi togliere la prima, ma resta la seconda.
Questo cosa comporta?
Tantissime cose. Qui restiamo sul discorso "ciclo", confrontando ad esempio la serie detrendizzata sul periodo 1970q1 2008q2 con quella ottenuta applicando il filtro passa banda di Baxter e King alle frequenze del ciclo economico (agevolo disegnino con la funzione di risposta in frequenza:
nel caso ti sia utile).
Il confronto fornisce questo:
Qualche differenza si vede, no? La serie ricavata col filtro passa banda data i punti di svolta più o meno come la serie detrendizzata, ma l'intensità di espansioni e recessioni è molto diversa. Ad esempio, per la serie detrendizzata l'espansione più rilevante (15 miliardi sopra al trend) si sarebbe avuta all'inizio degli anni '90. La serie filtrata racconta una storia diversa.
Naturalmente da dire ci sarebbe molto altro, ma sto per entrare in una lunga galleria.
E adesso, ragliate fratres...
La prima è quella che porta a gerarchizzare i campi del sapere umano in funzione di una loro pretesa o percepita "difficoltà", ovviamente con l'idea che un sapere sia tanto più profondo quanto più difficile. Questa illusione contrasta con quanto chi sa abbastanza conosce della natura e dell'arte, dove in effetti il suggello della profondità è l'apparente semplicità, l'economicità del gesto (in particolare, di quello artistico). Una persona acculturata sa, o dopo un po' comunque apprende, che il sapere profondo sembra semplice. Per i superficiali il sapere profondo sarà sempre quello che sembra complicato.
La seconda, legittima, illusione ottica ha matrice egotista: ognuno di noi sa fare qualcosa, e molti la sanno anche fare bene. Da questo può discendere, in personalità non sufficientemente strutturate, la legittima illusione di saper fare tutto "meglio" degli altri. Ora, non è detto che le cose stiano sempre esattamente così. Naturalmente, in questa illusione c'è del vero. Prendiamo ad esempio gli strumenti musicali. Chi ne suona più di uno sa, perché ci arriva da sé, o perché glielo dice un bravo maestro, che esistono dei "metaconcetti" validi per qualsiasi strumento, e riconducibili comunque sempre tutti a motivi di economia del gesto. Mi ricordo di quando Salvatore Carchiolo mi disse che la mano doveva muoversi sulla tastiera come l'archetto su una corda, e che il movimento della mano doveva essere bello. Quando lo dissi al mio maestro di flauto, Pietro Meldolesi, flautista e violinista, rimase impressionato e ne seguì una interessante discussione che non vi riportò, perché fondamentalmente non credo che ve lo meritiate, ma il cui senso generale era che suonare bene uno strumento forniva delle "metacategorie" spendibili anche nella tecnica di altri strumenti, magari completamente diversi.
Qui siete per di più di un'altra razza: quella delle persone che avendo fatto ingengngneria, e quindi avendo fatto due analisi e altre matematiche, pensano di poter capire l'econometria meglio di uno che invece ha studiato econometria, e quindi ha fatto meno matematica, ma quella che serve allo scopo.
Non è di questa razza andrea (che infatti è un fisico), il quale osserva, a seguito del post precedente, che:
20 agosto 2016 01:52
In
realtà nel post ci sono moltissimi discorsi, ma quello centrale è già
stato sintetizzato da Alberto nella frase "un random walk fornisce una
rappresentazione più accurata del DGP" (rispetto alla rappresentazione
pittorica fatta nel post precedente, cioè un trend deterministico
lineare con un po' di noise).
Per arrivare a questa, per me inaspettata, conclusione, il prof. usa un test che (mi pare di capire) è lo stato dell'arte in questo tipo di domande. Il test restituisce una stima (normalizzata per una stima dell'errore) del parametro rho-1, che è appunto "t-statistics", il cui valore ideale nel caso di random walk è zero. La stima si scosta da zero ma non significativamente, infatti per essere significativa al 10% doveva venire più bassa di -3.14. Essere significativo al 10% significa che c'è un 10% di probabilità che lo scostamento da zero sia una fluttuazione casuale e quindi scartare zero sia sbagliato (10% quindi è generoso, 1% sarebbe molto meglio). Quindi anche con molta generosità (nei confronti dell'alternativa) l'ipotesi di random walk non si può scartare.
Per arrivare a questa, per me inaspettata, conclusione, il prof. usa un test che (mi pare di capire) è lo stato dell'arte in questo tipo di domande. Il test restituisce una stima (normalizzata per una stima dell'errore) del parametro rho-1, che è appunto "t-statistics", il cui valore ideale nel caso di random walk è zero. La stima si scosta da zero ma non significativamente, infatti per essere significativa al 10% doveva venire più bassa di -3.14. Essere significativo al 10% significa che c'è un 10% di probabilità che lo scostamento da zero sia una fluttuazione casuale e quindi scartare zero sia sbagliato (10% quindi è generoso, 1% sarebbe molto meglio). Quindi anche con molta generosità (nei confronti dell'alternativa) l'ipotesi di random walk non si può scartare.
Prima osservazione generalissima: chiunque lavori coi dati per farsi un'idea del meccanismo che li ha generati parte da un'ispezione visuale del loro comportamento. Con gli anni l'istinto si affina, e l'uso di test statistici non fa che confermare l'intuizione estetica (in senso etimologico).
Poi entriamo nello specifico, prendendola un po' larga, per far capire quanto sia in effetti importante capire se i dati siano stati generati da una tendenza deterministica con un po' di noise più o meno autocorrelato attorno, o se invece sono stati generati da una tendenza stocastica, cioè da una passeggiata aleatoria, cioè da un processo con radici unitarie.
Verso l'inizio degli anni '60 gli economisti pensavano di aver risolto il problema della crescita economica. In effetti, il mondo era in rapida crescita, e quindi la crescita, in termini politici, era un non problema. In termini analitici, Solow aveva formalizzato il modello neoclassico di crescita che metteva insieme in modo relativamente coerente una serie di fatti stilizzati rilevanti, facendo contenti un po' tutti, anche i cosiddetti "keynesiani", che in realtà erano allora, come ora sono i neokeynesiani, dei neoclassici con una spruzzatina di celeste addosso (il celeste del partito democratico USA). Guardare al passato, se non al futuro, avrebbe mostrato che la crescita, cioè il lungo periodo, una sua importanza ce l'ha, e che esistevano divergenze tali da porre seri problemi. Ma, naturalmente, la risposta di tutti (di quelli "de destra" come di quelli "de sinistra") era che i problemi si sarebbero potuti risolvere applicando la legge dell'offerta e dell'offerta (geniale lascito alla civiltà occidentale dell'amico Giuseppe Rubino). Il lungo periodo era un problema di produzione/offerta, non di spesa/domanda. Unica voce dissenziente, Tony Thirlwall (discepolo di Kaldor, discepolo di Keynes).
Risolto (male) il problema della crescita, da lì in poi quindi l'agenda della ricerca economica ed econometrica si sarebbe incentrato sul medio periodo, sul ciclo economico, su come gestire senza scosse (eccessive recessioni o espansioni) il percorso magnifico e progressivo dell'umanità verso il benessere. Insomma: l'agenda della ricerca si concentrò sul ciclo economico.
Per andrea (se, come penso, sa l'analisi spettrale): fondamentalmente gli economisti decisero di trascurare le frequenze angolari stagionali (dalla frequenza pi greco, corrispondente a un ciclo di periodo due, in giù: le trovi descritte qui), e naturalmente anche la frequenza zero, che determina quella che il compianto Granger chiamava la forma spettrale tipica di una serie economica, per studiare cosa accade in una banda di frequenza corrispondente a un ciclo di periodicità intermedia, il cosiddetto business cycle period, che si presume sia intorno ai cinque anni (con molta variabilità e ovviamente con una periodicità che dipende dal campionamento dei dati: cinque anni sono venti trimestri...).
Naturalmente, per risolvere il problema del ciclo (economico, altrimenti, come sapete, ci vuole Lines Seta), prima bisogna individuarlo. L'altro ciclo ha dei sintomi piuttosto evidenti: il famoso "in quei giorni", che non è l'incipit di un passo del Vangelo, ma di una pubblicità. Le recessioni sono anche loro, talora, un bagno di sangue, ma, ad esempio, le espansioni no, e quando tutto va bene la gente si distrae e pensa che sarà così per sempre. Datare i punti di svolta della congiuntura economica, e soprattutto quelli superiori, non è quindi una cosa banale.
Inoltre: il ciclo, per definizione, dovrebbe essere una componente stazionaria. Un'onda media, che si sovrappone all'onda lunga della crescita (ma si distingue dalle increspature a frequenza stagionale). La componente ciclica quindi dovrebbe essere quanto meno un processo stazionario in covarianza, e magari anche ergodico, per i noti motivi (cioè perché di ciclo "storico" ne abbiamo uno solo, e momenti di insieme non possiamo calcolarne).
Nota che, in tutto questo, gli economisti l'analisi spettrale non la sanno. Un econometrico allievo di Carlucci, se vuole trovare il ciclo, applica un filtro passa banda, come il filtro di Baxter e King (ma poi ce ne sono stati altri). Un economista farà la cosa più ovvia: interpolerà un trend, e prenderà il residuo, cioè la serie detrendizzata, come stima della componente ciclica della serie: l'operazione che vedi fatta nella Figure 3 riportata dalla fonte delle fonti.
Si capisce subito cosa c'è che non va, no?
Se facciamo questa operazione sulla serie trimestrale del Pil da 1970q1 a 2016q2 il risultato, ovviamente, è questo:
Qui hai in rosso i dati, in verde il trend e in blu il residuo, cioè la serie detrendizzata. Sembra che ci sia un'unica onda, con un picco poco dopo il 2000. Ma l'Italia non ha avuto un unico ciclo economico. Tu dirai: "Questo è un risultato spurio dovuto al fatto che il processo ha cambiato struttura". Forse. Allora vediamo cosa succede se la stessa operazione la facciamo prendendo i dati fino a 2008q2:
Ecco: qui si ragiona: si vede una serie di onde cicliche, con un primo picco nel 1974, un primo cavo (recessione) nel 1975, ecc. Abbiamo trovato il ciclo.
Sarà stazionario in covarianza?
No. Te lo dico prima di fare il test perché io so (come Pasolini):
E in effetti l'ipotesi di radice unitaria (marginalmente) non può essere rifiutata...
(...in realtà te sto a cojonà, e se ti accorgi di dove potrebbe essere il trucco sei bravo...)
Quindi? Quindi il Pil non è una tendenza deterministica "con un po' di noise intorno" nemmeno prima dello sfracello del 2008, e questo, peraltro, i dati ce l'avrebbero detto:
Tuttavia nel DGP del Pil una tendenza deterministica c'è: convive felicemente con una tendenza stocastica, perché il DGP è di tipo random walk with drift:
e quindi, se immagini di essere all'origine dei tempi, con una condizione iniziale pari a zero, succederà una cosa di questo tipo:
L'accumulazione delle intercette (diverse da zero, il drift del processo) genera una tendenza deterministica, e l'accumulazione dei noise incorrelati genera una tendenza stocastica. Puoi togliere la prima, ma resta la seconda.
Questo cosa comporta?
Tantissime cose. Qui restiamo sul discorso "ciclo", confrontando ad esempio la serie detrendizzata sul periodo 1970q1 2008q2 con quella ottenuta applicando il filtro passa banda di Baxter e King alle frequenze del ciclo economico (agevolo disegnino con la funzione di risposta in frequenza:
nel caso ti sia utile).
Il confronto fornisce questo:
Qualche differenza si vede, no? La serie ricavata col filtro passa banda data i punti di svolta più o meno come la serie detrendizzata, ma l'intensità di espansioni e recessioni è molto diversa. Ad esempio, per la serie detrendizzata l'espansione più rilevante (15 miliardi sopra al trend) si sarebbe avuta all'inizio degli anni '90. La serie filtrata racconta una storia diversa.
Naturalmente da dire ci sarebbe molto altro, ma sto per entrare in una lunga galleria.
E adesso, ragliate fratres...
Iscriviti a:
Post (Atom)