Visualizzazione post con etichetta DEF. Mostra tutti i post
Visualizzazione post con etichetta DEF. Mostra tutti i post

giovedì 13 dicembre 2018

Ai confini della surrealtà


Questo grafico riporta, per ogni anno, il valore del saldo di bilancio pubblico del nostro paese rinvenibile nello scenario tendenziale calcolato nel DEF dell'anno precedente (in blu), dello scenario programmatico proposto dalla NADEF sempre dell'anno precedente (in arancione), e effettivo, tratto dall'ultima edizione del World Economic Outlook (in grigio: il dato del 2018 è stimato, visto che l'ultima edizione del WEO è di ottobre 2018, cioè di quando ancora non si poteva sapere come sarebbero andate a finire le cose, e il dato del 2019 non l'ho proprio riportato, perché le proiezioni dell'IMF fanno già sufficientemente schifo per l'anno in corso).

Tanto per capirci, cominciando da sinistra per finire a destra (un percorso naturale): con riferimento all'anno 2014 vedete che ad aprile 2013 il DEF (varato da Monti) supponeva che a politiche invariate il saldo sarebbe stato negativo per -1.8 (percentuale del Pil), poi la NADEF (redatta da Enrico "stai sereno" Letta) ipotizzava che si sarebbe fatta una politica espansiva fino al -2.3% del Pil, ma a conti fatti il risultato fu un -3.0% tondo (peggiore di 1.2 rispetto al tendenziale e di 0.7 rispetto al programmatico).

In ogni singolo anno questa dinamica si ripete in modo più o meno accentuato. Il saldo programmatico è peggiore del tendenziale (e ci sta, perché il programmatico incorpora gli effetti della manovra, che, laddove sia espansiva, prevederà un maggior deficit rispetto allo scenario tendenziale o "a politiche vigenti"), e, soprattutto, l'effettivo è peggiore del programmatico, il che significa che i governi tendono a sottostimare sistematicamente l'impatto delle loro politiche sul deficit, cioè dichiarano di fare meno deficit con le loro manovre di quanto poi effettivamente ne facciano.


In questo grafico ho aggiunto alle variabili già descritte lo scarto fra deficit programmatico e deficit tendenziale, che misura lo sforzo espansivo dichiarato dalle singole manovre (questa affermazione necessita di una precisazione che faccio più avanti, nell'ultimo grafico). Se consideriamo, ad esempio, il 2018, vediamo che nel DEF 2017 Gentiloni si aspettava per il 2018 un deficit di -1.2, portato nello scenario programmatico della NADEF a -1.6: un -0.4 che si riflette nella barra gialla.

Vi faccio vedere solo le barre gialle, così capiamo di cosa stiamo parlando:


Il DEF del quale sono stato relatore prevedeva un tendenziale di 0.8 (non so se ve lo ricordate). Ora siamo finiti al 2, cioè a -1.2 di deficit addizionale. Fra il 2014 e il 2018 lo scarto fra tendenziale DEF e programmatico NADEF è stato in media di -0.4. Nel 2019, dopo la "ritirata" del Governo, è tre volte tanto.

La mia dichiarazione di voto è qui:


ed ho quindi detto in modo sufficientemente chiaro cosa ritenevo auspicabile. Rispetto a quanto ho dichiarato in quella sede pare che le cose stiano andando in modo diverso. Il Presidente del Consiglio, che è stato così gentile da apprezzare il mio discorso, pare abbia ritenuto di comportarsi in modo diverso, più affine a quanto sembrava anche a me opportuno fare quando vedevo emergere "le contraddizioni di un progetto articolato sulla svalutazione del salari", ma queste contraddizioni non erano ancora esplose. Voi, che avete meno informazioni di me, siete liberi di leggere questo risultato come una mia sconfitta: quando si dà un parere, può darsi che non venga ascoltato, e questo, certo, in linea di principio potrebbe ulcerare la vanità di qualche eguccio debole. D'altra parte io, che ho meno informazioni di Conte, non me la sento di esprimere un giudizio sulla sua scelta. Come ho detto in un'altra occasione, suscitando i lazzi della nostra stampa più autorevole, per me essere in squadra significa portare a termine il compito che mi è stato assegnato senza pretendere di avere l'immediata visione d'insieme e senza volermi sostituire né fare lezioncine a chi ne sa più di me.

So bene che molti di voi immaginano che io passi, o debba passare, il tempo a dare lezioni di politica a Salvini: lo so, perché per sette anni avete dato su questo blog lezioni di economia a me. Ora, non è che Salvini abbia un carattere peggiore del mio, anzi! Ha semplicemente meno tempo, e io, che me ne rendo conto, vedendo quanto sia scarso il tempo di cui dispongo da quando rivesto una carica infinitamente meno impegnativa della sua, cerco di limitare allo stretto essenziale le interazioni. Lo stesso vale, con maggior forza, per il Presidente Conte.

L'acquiescenza a richieste che in termini economici sono del tutto surreali (lo confermo, perché, come detto in dichiarazione di voto, lo confermano gli uffici tecnici della Commissioni) viene vista da molti di voi come una inopportuna arrendevolezza. Può darsi. D'altra parte, ora il signor Moscovici è politicamente in lieve difficoltà. Se continua a dire che non gli basta mai, certificherà il fatto che "l'Europa" ha come ragion d'essere quella di imporre politiche procicliche a chi se le lascia imporre, cioè farà campagna elettorale per noi, non solo qui, ma anche negli altri paesi europei (e infatti le ultime agenzie dicono che abbia smesso, anche perché alla Francia, che ora ha alle calcagna la Germania, non conviene isolarsi politicamente dall'Italia, ma il contrario non è necessariamente vero, finché un francese ci spara addosso!). Se la mossa del Governo eviterà la procedura di infrazione, permetterà di portare a casa i risultati della manovra in termini sostanzialmente invariati (per i dettagli, come ha ricordato Claudio Borghi, dobbiamo aspettare le carte), confinando la Francia nel ruolo del cattivo. Se invece ci sarà procedura d'infrazione, si confermerà quell'atteggiamento bullistico del quale parlavo in dichiarazione di voto. Mi direte che non c'era bisogno di questa ulteriore dimostrazione, e potrei anche concordare con questa analisi: di Nein! è costellata la storia di questo blog. Mi direte che non esiste solidarietà europea, che abbiamo visto macellare nazioni nella totale indifferenza degli elettori (soprattutto progressisti) delle nazioni altrui, e vi potrei anche dare ragione. Tuttavia, sono stati quei macelli a far sorgere in molti di voi la consapevolezza che vi ha spinto a sostenere politicamente chi contrastava questo sistema iniquo, e ogni giorno si allarga sui media internazionali il fronte di chi critica il modus operandi della Commissione.

Onestamente, non sappiamo che cosa avrebbe fatto il PD se fosse rimasto al potere. Se dobbiamo imparare dal passato, forse avrebbe fatto uno 0.8+0.4=1.2 di deficit. Per scrupolo aggiungo che se il confronto fra tendenziale DEF e programmatico NADEF ha un senso quest'anno (per il semplice motivo che noi il DEF l'abbiamo ereditato), l'entità della manovra va correttamente valutata confrontando il tendenziale NADEF (aggiornato rispetto a quello DEF) con il programmatico NADEF. Il confronto lo trovate qui:


Notate che nel 2013 (per il 2014) e nel 2014 (per il 2015) le manovre rispettivamente di Letta e Renzi prevedevano un deficit programmatico NADEF inferiore al tendenziale NADEF, cioè una stretta di bilancio rispetto al quadro a legislazione vigente. E così, nel 2014 la crescita del Pil fu dello 0.1%, e nel 2015 dello 0.9%. Poi, negli anni successivi, i saldi programmatici della NADEF divennero lievemente più espansivi di quelli tendenziali. In media, nel favoloso quinquennio del PD lo scarto fra programmatico e tendenziale NADEF fu di -0.2. Quest'anno, dopo la mediazione del governo, di -0.8 (da -1.2 a -2.0), cioè quattro (4) volte tanto. Diciamo che il sentiero stretto di Piercarlo "sparecchiavo" Padoan è diventato a quattro corsie: diminuisce il rischio di cadere di sotto.

Intrendiamoci: in squadra ci sono entrato io, non voi. Quindi io me ne sto zitto e lavoro, e voi, giustamente, dovete esprimere le vostre critiche. Tutti, me compreso, stiamo aspettando i risultati. Io devo anche concorrere ad essi per la mia parte. Il meraviglioso mondo dei social fa da lente di ingrandimento del nostro scontento, ma ci offre anche l'opportunità di condividere quello che avete trovato e vi ha trattenuto qui: i dati. Il mondo di prima, del quale vi parlai a suo tempo, era un mondo in cui l'IVA sarebbe aumentata, nessuno avrebbe usufruito di quota 100, nessuno avrebbe avuto né reddito né pensione di cittadinanza, non era stata rafforzata la detassazione dell'IMU sugli immobili strumentali, non era stato esteso il regime forfetario (sì, lo so, non è la "vera" flat tax: non ricordo di aver mai detto che avremmo fatto tutto il primo anno, e se l'ho detto lapidatemi pure), ecc.

Certo che dobbiamo volere di più!

Però, perdonatemi, una cosa devo dirvela: così come mi sembrano surreali le richieste "europee" di fare una politica meno espansiva all'inizio di un ciclo recessivo (richieste che si sbricioleranno quando la recessione globale colpirà i buoni come i cattivi), altrettanto surreali mi sembrano certe rampogne che vedo circolare sui social. Per giustificarle, per carità, le giustifico: i grafici di questo post sono una spiegazione sufficiente! Ma per capirle dovrei pensare che abbiate la memoria di un moscerino, o che siate atterrati oggi in Italia provenendo dall'iperuranio dei testi di macroeconomia keynesiana, dove, in effetti, è scritto che bisognerebbe fare ben altro (credo di saperlo, ma ringrazio comunque chi me lo ricorda).

Il fatto è che nel mondo reale non basta che capiamo noi qual è la cosa giusta. Devono capirlo anche loro. Alla fine lo capiranno, perché i fatti hanno la testa dura e qui avete imparato ad apprezzarlo. Cerchiamo di non dimenticarceli, questi fatti: altrimenti la testa ce la romperemo noi.

Con immutato affetto e riconoscenza.

giovedì 17 maggio 2018

La relazione pericolosa

La situazione nella quale mi sono trovato ieri in Commissione Speciale pare fosse completamente inedita. Ricapitolando: del DEF normalmente si occupa la V Commissione Permanente (Bilancio), che però, come sapete, al pari delle altre Commissioni Permanenti non si è ancora potuta insediare, perché ancora non si sa chi sia esattamente maggioranza e chi opposizione (e quindi non si possono assegnare le presidenze di commissione in modo da riflettere e controbilanciare l'equilibrio di poteri determinato - o non determinato! - dal voto). Il governo dimissionario, che avrebbe dovuto presentare il DEF il 10 aprile, ha avuto due ordini di riguardi: ha aspettato un po', per vedere se gli equilibri si definivano, e non ha inserito il "quadro programmatico", cioè non ci ha detto cosa avrebbe voluto fare, dato che in tutta questa incertezza una cosa sola era certa: che qualsiasi cosa fosse, non l'avrebbe fatta lui.

La cosa a grandi linee normalmente va così: c'è un governo, presenta il DEF entro il 10 aprile, viene assegnato per la discussione alla V Commissione, nella quale un relatore di maggioranza riferisce, la discussione si svolge, ognuno dice come la pensa sulle misure proposte dal governo, e poi si dà mandato al relatore di riferire in aula (favorevolmente, per forza di cose, visto che il DEF è prodotto da un governo espressione della stessa maggioranza del relatore).

Questa volta l'affare era piuttosto ingarbugliato, perché il DEF è espressione di un governo che non c'è più (anche se ogni tanto si comporta come se ci fosse ancora), il relatore, per forza di cose, era espressione di una maggioranza che non c'è ancora (per poco), e la discussione sulle misure contenute nel DEF era per definizione una discussione sul nulla, dal momento che il DEF in buona sostanza misure non ne contiene (d'altra parte, se c'è il pilota automatico, forse non si vede nemmeno perché mai dovrebbe contenerne)!

Ho passato due o tre giorni a cercar di capire cosa avrei dovuto fare, realizzando, a poco a poco, che cosa fare esattamente non era chiaro a molti, perché una situazione simile in effetti non si era mai presentata. Io, per non sbagliare, l'ho presa con il mio consueto spirito di servizio: siamo un'assemblea, dobbiamo discutere un documento, mi tocca riferire: bene: cercherò di chiarire bene cosa c'è nel documento, in modo che sia più facile discuterne il contenuto. Dato che nel documento c'era solo il tendenziale, ho discusso quello.  Male non fare, paura non avere...

Condivido con voi la mia relazione, e poi, a seguire, vi rinvio al resoconto sommario della discussione che ne è seguita: una discussione della quale avrete modo di apprezzare il punto nodale, che era decidere se nominare o meno un senatore leghista (barbaro) per riferire in aula su un DEF del PD. Apprezzerete il contributo costruttivo dei colleghi del 5 stelle.

La relazione


Come è noto, in ragione del momento di transizione il DEF al nostro esame è stato presentato in ritardo rispetto alle scadenze naturali e non contempla alcun impegno per il futuro, bensì si limita alla descrizione dell'evoluzione economico-finanziaria internazionale, e all’aggiornamento delle previsioni macroeconomiche per l'Italia e del quadro di finanza pubblica tendenziale che ne consegue.
Fornirò una sintesi dei principali elementi che il governo propone alla valutazione delle Camere, articolandola secondo le principali sezioni in cui si articola il documento, e fornendo limitati spunti di analisi. In particolare, evidenzierò le principali modifiche sopravvenute negli scenari proposti rispetto alla Nota di Aggiornamento al DEF presentata nel settembre scorso.
Per quanto concerne il quadro macroeconomico descritto nel Programma di stabilità (Tavola 1 del primo capitolo), nel periodo di previsione preso in considerazione nel DEF, le stime contemplano una crescita del PIL pari a 1,5% nel 2018 e 1,4% nel 2019 e una riduzione del tasso di disoccupazione rispettivamente al 10,7% nel 2018 e al 10,2% nel 2019. Il principale mutamento intervenuto rispetto al NADEF 2017 è una revisione al rialzo della crescita, rispettivamente di 0,3 e 0,2 punti, in ragione del quadro internazionale più favorevole, riflettendo anche gli orientamenti del Fondo Monetario Internazionale, che fra ottobre 2017 e aprile 2018 ha rivisto al rialzo in misura analoga la crescita reale dell’economia italiana.
Prima di fornire elementi di valutazione di questo quadro previsionale, mi limito ad osservare che incrociandolo con le previsioni demografiche dell’ISTAT si ricava che data questa crescita, nel 2021 il Pil pro capite degli italiani sarà pari a circa 27.700 euro ai prezzi del 2010, ancora al disotto del massimo antecedente alla crisi, raggiunto nel 2007 con 28.699 euro, e prossimo al valore del 2003, pari a 27.684 euro (fonte AMECO).
Il quadro previsionale è stato valutato dall’Ufficio Parlamentare di Bilancio in conformità al regolamento EU 473/2013 (cosiddetto Two pack), che lo ha validato rilevando tuttavia nell’audizione del 9 maggio scorso come le previsioni del Governo siano “in prossimità” o “marginalmente superiori” al limite massimo delle previsioni fornite dai valutatori indipendenti (Fig. 1.2 dell’audizione). Diversi osservatori, fra cui Confindustria, nella sua audizione del 15 maggio scorso, hanno segnalato il rischio di sovrastima della crescita, legato in particolare al fatto che il quadro previsionale non sconta l’effetto recessivo determinato dall’attivazione delle c.d. “clausole di salvaguardia” (delle quali si dirà più avanti). Preme sottolineare a questo riguardo che rispetto al momento in cui le previsioni sono state formulate sono emerse fragilità nella crescita tedesca (l’Ufficio Federale di Statistica ha dato conto di un rallentamento di 0,3 punti nella crescita dell’ultimo trimestre 2017 in ragione di un “rallentamento del commercio mondiale”), e il Centro Europa Ricerche (CER), uno dei valutatori indipendenti, nella sua nota di aggiornamento del 14 maggio scorso evidenzia un rallentamento della crescita del secondo trimestre 2018 rispetto allo stesso periodo del 2017.
Va dato atto al governo di aver fatto una analisi di sensitività rispetto ai principali fattori di rischio connessi alle tensioni geopolitiche, commerciali e finanziarie presenti a livello globale, tensioni alle quali si è aggiunta la decisione relativa agli accordi sul nucleare iraniano, suscettibili di effetti sull'attività delle nostre aziende operanti in quel paese.
Un primo gruppo di rischi attiene alla stabilità finanziaria: questa potrebbe venire interessata negativamente dall’attuale situazione di elevati corsi azionari, bassi e poco differenziati rendimenti obbligazionari,  ridotta volatilità, cui si è abituata la gestione degli investitori, ed elevati livelli di indebitamento pubblico e soprattutto privato di alcuni paesi emergenti. A ciò deve aggiungersi il possibile fattore di rischio connesso ad un eventuale inasprimento delle condizioni dei mercati finanziari connesso alla prossima fine del Quantitative easing. Si segnala, tra le altre, la dichiarazione di Villeroy (Banca di Francia e board BCE) che ha dichiarato: “il QE si sta avvicinando alla conclusione, se sia a settembre o dicembre non fa alcuna differenza”.
Un secondo fattore di rischio attiene alle possibili evoluzioni delle misure protezionistiche avviate dagli Stati Uniti, cui il Def dedica un apposito focus, articolato secondo due differenti scenari, più intenso il primo e più moderato il secondo.
Si osserva tuttavia che non viene fatta un’analisi di sensitività del quadro previsionale rispetto a due variabili cruciali: il cambio euro/dollaro, che potrebbe rivelarsi più alto del previsto in ragione fra l’altro dell’elevatissimo surplus dell’Eurozona (principalmente ascrivibile all’economia tedesca), mal tollerato dagli Stati Uniti, e il prezzo del petrolio, per il quale valgono considerazioni analoghe.
Per quanto riguarda la finanza pubblica, il quadro tendenziale prevede una riduzione del deficit all’1,6% del PIL nel 2018 e allo 0,8% nel 2019, con l’avanzo primario in crescita rispettivamente all’1,9% e al 2,7%. Il debito pubblico è previsto scendere al 130,8% del PIL nell’anno in corso e al 128% l’anno prossimo.
La principale modifica intervenuta rispetto al quadro proposto dal NADEF2017 riguarda la contabilizzazione degli interventi a favore del sistema bancario.
A tale proposito ricordo che con la Relazione al Parlamento presentata alle Camere in data 19 dicembre 2016, ai sensi dell’articolo 6 della legge n. 243 del 2012, il Governo chiese l’autorizzazione ad emettere titoli di debito pubblico fino ad un massimo pari a 20 miliardi di euro per l’anno 2017, per l’eventuale adozione di tali provvedimenti. La Nota di aggiornamento al DEF 2017 precisava che, trattandosi di partite finanziarie, si era ipotizzato un impatto nullo sull’indebitamento netto delle Amministrazioni pubbliche.
Giova ricordare che la Verifica delle quantificazioni n. 555 realizzata dal Servizio del bilancio della Camera in data 6 luglio 2017 aveva evidenziato l’esigenza di ulteriori indagini. L’Istat, nella Comunicazione diffusa il 4 aprile 2018, ha in effetti rettificato le considerazioni espresse nel NADEF2017 dando conto di alcune revisioni dei dati relativi all’indebitamento netto e al debito per il 2017, dovute in larga parte all’inclusione nelle stime riferite a tali indicatori degli effetti delle operazioni riguardanti le banche in difficoltà. Tali revisioni sono per lo più ascrivibili alla decisione assunta da Eurostat nel parere pubblicato il 3 aprile 2018, che ha fornito indicazioni metodologiche circa il corretto trattamento contabile delle operazioni relative alle banche venete, attribuendo alle stesse un impatto, non solo ai fini del fabbisogno, ma anche dell’indebitamento netto (a differenza quindi di quanto previsto dalla Nadef 2017).
Dai dati forniti risulta che le operazioni relative alle banche in difficoltà hanno determinato nel 2017 effetti anche sull’indebitamento netto per circa 6,3 miliardi, di cui circa 1,6 miliardi derivanti dalle operazioni relative a Monte Paschi di Siena e circa 4,8 miliardi ascrivibili alle operazioni sulle banche venete. La decisione Eurostat ha modificato anche l’impatto sul debito delle operazioni riferite alle banche venete.
Tenendo conto di queste modifiche, si prospetta comunque una riduzione progressiva del deficit tendenziale sia in valore assoluto sia in percentuale del PIL, raggiungendo un sostanziale pareggio nel 2020 ed un lieve avanzo nell’ultimo anno di previsione. Il miglioramento deriva sostanzialmente dall’incremento dell’avanzo primario, che dovrebbe via via salire sino ad arrivare al 3,7 per cento del PIL nel 2021. La spesa per interessi è prevista ridursi dal 3,8 per cento del PIL registrato nel 2017 al 3,5 per cento nel 2018 e poi stabilizzarsi.
Tuttavia, anche in conseguenza delle vicende relative alle banche in difficoltà, la cosiddetta “regola del debito” non appare rispettata in base a nessuno dei tre noti criteri previsti dalla normativa UE.
Quanto al miglioramento dell’avanzo primario, questo sconta soprattutto una riduzione dell’incidenza sul PIL delle uscite primarie, in particolare di quelle di natura corrente, data anche la natura a legislazione vigente della previsione. A questo proposito, sta destando un certo allarme nell’opinione pubblica il dato evidenziato dalla Tabella 2.2 delle “Analisi e tendenze di finanza pubblica”, secondo cui dal 2019 la spesa sanitaria scenderebbe sotto il livello minimo consigliato dall’OCSE, pari al 6,5% del Pil, dato evidenziato anche dal rappresentante della Conferenza delle Regioni e delle Province autonome nell’audizione del 15 maggio scorso. Notiamo, incidentalmente, come la stessa audizione abbia evidenziato che il contributo al risanamento del debito delle amministrazioni pubbliche stia avvenendo largamente per opera delle amministrazioni locali, causando alcune difficoltà nell’assicurare i servizi ai cittadini che ad esse competono.
Inoltre, il quadro economico-finanziario prospettato nel DEF, non avendo natura programmatica, contempla l’aumento delle imposte indirette nel 2019 e, in minor misura, nel 2020, previsto dalle clausole di salvaguardia in vigore. Come già avvenuto negli anni scorsi, tale aumento potrà essere sostituito da misure alternative con futuri interventi legislativi che potranno essere valutati dal prossimo Governo.
Il DEF aggiorna altresì le previsioni tendenziali relative al saldo strutturale, che è previsto migliorare progressivamente passando da una stima di -1,1 per cento nel 2017 a un lieve avanzo nel 2020 (+0,1), che si mantiene anche nel 2021. Su questo punto va segnalato che la Commissione europea stima un saldo strutturale peggiore rispetto al DEF di -0,6 punti di PIL nel 2017, -0,7 punti nel 2018 e -1,6 punti nel 2019. In tutti e tre gli anni incide una diversa valutazione della componente ciclica del bilancio che, secondo la Commissione, è inferiore di 0,6 punti annui rispetto a quanto stimato dal DEF, una divergenza che discende in larga misura dalle diverse metodologie seguite da Governo e Commissione per stimare l’output gap. Pur conservando riserve di ordine scientifico su questo criterio, il relatore dà atto al Governo di aver proposto ed in parte applicato una riforma della metodologia di calcolo meno penalizzante per il nostro paese. Per approfondimenti su questo tema si rinvia al quarto paragrafo della  relazione sui “Fattori rilevanti per lo sviluppo del debito pubblico italiano”, redatta ex art. 126 TFUE e  pubblicata dal MEF in questo mese.
Sul 2018 pesa inoltre una previsione marginalmente più pessimistica della Commissione in merito al saldo complessivo di bilancio (la Commissione lo stima a -1,7 punti di PIL, mentre il Governo lo prevede a -1,6 punti), che si riflette anche sulla sua componente strutturale. Sul 2019 incide poi la diversa ipotesi sulle clausole di salvaguardia (cui corrisponde un effetto migliorativo sul saldo di 0,7 punti di PIL incluso nelle previsioni del DEF) che nello scenario della Commissione vengono disattivate senza compensazione, e un approccio più cautelativo della Commissione su altre poste di bilancio che fa sì che l’indebitamento netto risulti complessivamente più elevato rispetto alle stime del DEF di circa 1 punto di PIL.
Si rammenta che già lo scorso anno la Commissione europea aveva rilevato che "le condizioni macroeconomiche, sebbene ancora sfavorevoli, principalmente a causa della bassa inflazione, dovrebbero risultare migliorate a partire dal 2016 e non possono più essere considerate come una circostanza attenuante per spiegare il mancato risanamento di bilancio da parte dell'Italia e il forte divario previsto rispetto alla regola del debito (nella configurazione prospettica) per i prossimi anni."
La terza Sezione del DEF 2018 reca il Programma Nazionale di riforma (PNR) che, in stretta relazione con quanto previsto nel Programma di Stabilità, definisce gli interventi da adottare per il raggiungimento degli obiettivi nazionali di crescita, produttività, occupazione e sostenibilità delle finanze pubbliche, in coerenza con gli indirizzi formulati dalle istituzioni europee nell’ambito del semestre Europeo. In tale ambito sono indicati lo scenario macroeconomico e i prevedibili effetti delle riforme, l'azione del Governo e lo stato di avanzamento delle riforme avviate, in relazione alle raccomandazioni formulate dal Consiglio UE ed infine il quadro degli interventi ricompresi nelle azioni di policy per le politiche di coesione. Sono altresì riportati l’impatto finanziario delle misure del programma nazionale di riforma, con riferimento a quanto dettagliato nelle griglie ad esso allegate.
Nel PNR merita a nostro avviso particolare attenzione il paragrafo II.3 che analizza il tema della riduzione dei crediti deteriorati nel sistema bancario. Si rileva positivamente una fisiologica ripresa dello smaltimento, associata alla generale ripresa della crescita economica. Riteniamo però che si debba esercitare attenzione nel non impartire un eccessivo impulso a questo processo, in particolare valutando eventuali inviti in tal senso che dovessero giungere da organismi europei. Va evitato che uno smaltimento accelerato delle garanzie immobiliari, in uno scenario di crescita che comunque presenta rischi di rallentamento, metta in ulteriore difficoltà l’economia, con criticità rilevate anche dall’ANCE nella sua audizione del 15 maggio 2018.
Oltre ad una indicazione (parte IV) sulle interlocuzioni istituzionali con regioni e province autonome nella preparazione del PNR, completa la Sezione una ultima parte in cui si dà conto dei progressi conseguiti nell’ambito della Strategia Europa.
Dopo l’esercizio sperimentale dello scorso anno, il DEF 2018 è corredato dagli “Indicatori di benessere equo e sostenibile”: si tratta di 12 indicatori di diverse aree che caratterizzano la qualità della vita dei cittadini relative a disuguaglianza, istruzione, salute, ambiente, sicurezza, etc. In esito alla sperimentazione relativa a 4 indicatori, a partire dal 2018 l’Italia è il primo paese dell’Unione europea e dei G7 a dotarsi di un set di indicatori di benessere in base ai quali misurare l’impatto delle politiche pubbliche, abitualmente valutato su pochi indicatori macroeconomici e di finanza pubblica, in primis il PIL. Mi preme rilevare in questo senso che il Senato, attraverso il suo Ufficio Valutazione Impatto (UVI), propone interessanti approfondimenti metodologici ed estensioni delle analisi proposte dal DEF.
Per ogni approfondimento di dettaglio, si fa rinvio alla documentazione predisposta dai servizi studi e bilancio delle Camere.


La discussione

La trovate nel resoconto sommario, che potete navigare col menù di sinistra (il mio intervento è in "Affari assegnati"). Immagino la delusione dei tanti giornalisti che mi hanno chiesto il documento: magari si aspettavano di trovarci chissà quale misura (Weimar, le carriole, le cavallette, ecc.)! Immagino i titoloni... Mi dispiace per loro, ma non funziona così. Gli effetti speciali vanno bene al cinema. Questa è una partita a scacchi, ed è appena iniziata. Suppongo che qualcuno si annoierà (io mi diverto) e qualcuno non ci capirà niente (mi ci metto anch'io). Pazienza. E ora vi lascio, devo prepararmi per l'incontro di stasera a Olbia. Non so nemmeno dirvi quando sarà la prossima mossa, perché non mi sono ancora arrivate le convocazioni per la prossima settimana, né in quale veste la giocherò. A ogni giorno basta la sua pena.



(...vedere le cose dall'interno non ha prezzo: di questo vi sarò eternamente grato. Per il resto ci sono gli arditi: quelli che col pugnale fra i denti vogliono muovere l'assalto al grido di "procomberò sol io!" A tanto ardore egotico foscoliano (scusa, Giacomo), preferisco il lavoro di squadra. Non ve lo sareste mai immaginato, vero!?...)

lunedì 2 aprile 2018

Maastricht e l'aritmetica del debito pubblico: parte seconda

(...s'era detto che avremmo continuato, e continuiamo. Questo blog è anche un percorso didattico, e dobbiamo fare una tappa importante...)


Vorrei riprendere, visto che siamo in vacanza, e di tempo ne avete, un argomento che abbiamo affrontato cinque anni or sono, quello dell'aritmetica del debito pubblico, ovvero delle relazioni che legano la crescita del debito (e del suo rapporto al Pil), ad altri fondamentali macroeconomici quali il deficit (e il suo rapporto al Pil), la crescita, il tasso d'interesse, ecc. Su questo argomento avete sentito, sentite, e sentirete sproloquiare una caterva di personaggi in cerca di editore (o di incarico), per cui è bene che vi attrezziate con un minimo di strumenti tecnici, allo scopo di orientarvi con scioltezza in un terreno nel quale gli agguati ideologici sono all'ordine del giorno.

Premessa

Prima di entrare in argomento, è indispensabile fare una premessa. In questo blog abbiamo sempre sostenuto, perché lo sosteneva la Commissione Europea, che il debito pubblico italiano fosse perfettamente sostenibile sia nel breve che nel lungo periodo. Già che ci siamo, aggiorno le informazioni: il post sull'eugenetica pensionistica è del 2016, e da allora abbiamo avuto altre due edizioni del Fiscal sustainability report, che nel frattempo si chiama Debt sustainability monitor, quella del 2016 e quella del 2017. Non è cambiato solo il titolo, ma (in parte) anche le conclusioni: ora l'indicatore S2 di sostenibilità a lungo termine, quello che tiene conto delle passività implicite nell'evoluzione del sistema pensionistico (cioè, in italiano, del fatto che lo Stato dovrà trovare i soldi per le pensioni), evidenzia una lieve criticità:



L'Italia ora è nella regione "insostenibile", e se confrontate questi grafici con quelli degli anni precedenti (l'ultimo disponibile era quello del 2015, elaborato sui dati fino al 2014), noterete che ci è entrata spostandosi orizzontalmente a destra, anziché verticalmente verso l'alto.

Uno spostamento verticale verso l'alto avrebbe significato un peggioramento delle previsioni a lungo termine, quelle riferite alla spesa pensionistica, che invece sappiamo essere favorevoli per il nostro paese. Lo conferma il Rapporto sullo stato sociale 2017, che ribadisce come il rapporto fra spesa pensionistica e Pil sia previsto in discesa:


il che rende vacue (o meglio: sospette) le reiterate invocazioni di nuove riforme pensionistiche (e anche perfettamente giustificata la nostra proposta di abrogare l'ultima: ma di questo vi parlerò in altra sede).

Lo spostamento orizzontale verso destra significa che ora il debito italiano è insostenibile perché si è deteriorata la situazione iniziale (unfavourable initial fiscal position), cioè perché il rapporto debito/Pil oggi è alto. Come si sia innalzato lo sapete, perché ne abbiamo parlato nel fact checking sull'operato del mio nuovo collega, Monti: quello che ha trovato il rapporto debito/Pil al 116% e ce lo ha restituito al 131%.

Quindi ora possiamo dire anche noi, forti dell'auctoritas della Commissione, quello che quattro petulanti cialtroni ideologizzati (o prezzolati) ci hanno detto per anni, quando non era vero, vale a dire che in effetti cominciamo ad avere un (lieve) problema di sostenibilità del debito. Naturalmente i quattro suddetti cialtroni ora esulteranno: sarà il loro I-told-you-so moment, quello che noi chiamiamo un #VLAD (ve lo avevo detto). Ma qui #VLAD posso dirlo solo io, non i cialtroni della stampa o della politica: se avete seguito il ragionamento, infatti, capirete che i grafici del Debt sustainability monitor sono la conferma definitiva del fatto genetico di questo blog, ovvero della denuncia che i salvataggi di Monti non solo non ci hanno salvato, ma, facendo aumentare il rapporto debito/Pil, ci hanno definitivamente affossato, rendendo fragile una situazione di finanza pubblica che non lo era (e facendolo, possiamo dirlo, oggettivamente non nell'interesse del paese, come è evidente ex post, ma di chi ha ricevuto dal paese miliardi in quota "fondo salvastati").

L'austerità di Monti è stata l'amputazione di una gamba se non sana, almeno non malata (la finanza pubblica, che grazie all'austerità è diventata meno sostenibile perché è diminuito il reddito degli italiani, unica vera garanzia di sostenibilità), mentre si trascurava (scientemente? Ideologicamente?) la gamba malata, ovvero quelle banche delle quali ora tutti vedono le criticità (mentre nel 2011 le vedevamo veramente in pochi).

Questo tanto per ricordare ai prezzolati o ai turisti che si trovassero casualmente a curiosare da queste parti che io, invece, in Senato non mi ci trovo per caso, ma perché ho fatto il possibile per mettere in guardia i miei concittadini da alcune catastrofi annunciate (e solo un partito ha saputo raccogliere il mio grido di allarme). Poi starà a loro decidere se continuare il percorso con noi, e magari parlarne nei loro fogli che nessuno più compra (perché non hanno avuto, né potevano avere, la lucidità di questo blog). Le cose, in ogni caso, continueranno ad andare come devono: i processi storici ed economici sono oggettivi, l'individuo conta, ma fino a un certo punto, le intenzioni contano zero di fronte ai risultati, e i conti si fanno alla fine...

La sintesi di questa premessa è che ora il problema c'è, che è stato creato da chi pretendeva di risolverlo quando non c'era, e che per evitare di aggravarlo dobbiamo essere estremamente consapevoli di cosa guidi la dinamica del rapporto debito/Pil. Solo questa consapevolezza ci permetterà di non trovarci, nel 2018, o nel 2019, con una "initial fiscal position" ancora più "unfavourable" di quella in cui ci ha messo il salvatore della Patria (altrui). Va anche detto che la dimensione tecnica, quella che qui vi esorto ad approfondire, non è poi così essenziale: per rifiutare certi argomenti basterebbe quella comunicativa (le favolette morali sullo Stato come una famiglia), e basterebbe ricordarsi di chi abbia propalato ricette letali per il paese (i soliti noti). Lo so, non è politicamente corretto, ma me ne infischio: purtroppo certi argomenti valgono quanto le persone che li propalano, e se una persona viene da un'istituzione o da una società che ha fallito o sta fallendo, o ha millantato titoli che non aveva, o risponde chiaramente a interessi particolari dai quali dipende la sua sussistenza, si può tranquillamente girar pagina o cambiare canale. Però se voi siete qui è perché volete sapere quello che non sapete (a differenza dei piddini, che non vogliono sapere quello che sanno di sapere). Quindi, passiamo alla "tecnica".

Riassunto della puntata precedente

Vi ricordo che questa è la seconda puntata di un discorso iniziato qui, che sarebbe meglio vi riguardaste prima di andare avanti. Qui lo riassumo, semplicemente per mettere in evidenza in cosa oggi arricchiamo il nostro bagaglio tecnico.

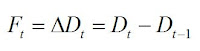
Molto rapidamente: il deficit o indebitamento o fabbisogno F è definito come variazione del debito D:
per cui, ad esempio, il deficit del 2017 è la differenza fra il debito a fine 2017 e il debito a fine 2016 (cioè inizio 2017):
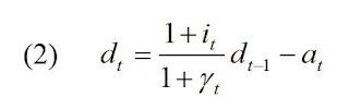
Dividendo per il valore del Pil a prezzi correnti, Y, questa relazione, si arriva a dimostrare che:
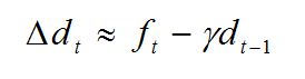
(è la formula (4) del post citato), dove le lettere minuscole indicano i rapporti al Pil di debito (d) e deficit (f). Il rapporto debito/Pil a fine anno dipende dal fabbisogno dell'anno trascorso, più il rapporto debito/Pil dell'anno precedente diviso per uno più il tasso di crescita del Pil nominale (gamma). Al di là della magia matematica di questa formula, il senso è chiaro: un maggior deficit f porta a un maggior debito d (e ci mancherebbe!), ma una maggior crescita "diluisce" il rapporto, frenandone la crescita.

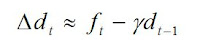
Con una ulteriore, semplice, manipolazione matematica si può dire la stessa cosa in modo forse più chiaro. Possiamo esprimere la variazione del rapporto debito/Pil d (ottenuta sottraendo a entrambi i membri il valore di d al tempo precedente), scomponendola in una parte che dipende dalla crescita, e una che dipende dal fabbisogno:
(è la formula (6) del post citato). Vi faccio notare che se la crescita è bassa, dividere per uno più gamma equivale a dividere per uno, e quindi gamma è sostanzialmente identico a gamma diviso per uno più gamma:

(va notato che negli ultimi quattro anni la nostra crescita nominale media è stata attorno all'1.5%, cioè è 0.015, mentre l'approssimazione comincia a non funzionare per valori attorno al 2.5%), per cui la formula può essere ulteriormente snellita, utilizzando il segno di uguaglianza approssimata:

Qui si vede che il rapporto debito/Pil cresce se il rapporto fabbisogno/Pil (f) è positivo e non è compensato dal prodotto fra la crescita nominale (gamma) e il rapporto debito/Pil del periodo precedente. Si vede anche che per azzerare la crescita del rapporto debito/Pil occorre e basta un fabbisogno pari al prodotto fra la crescita nominale e il valore precedente del debito:
Abbiamo utilizzato questa formula in questo post per studiare quanto ci sia costato Monti, con il suo insano (o scaltro) proposito di abbattere il rapporto debito/Pil, quando sarebbe stato molto meglio darsi come obiettivo la sua stabilizzazione (proposta all'epoca da Riccardo Realfonzo). Per non ripetere oggi gli errori di ieri, bastano le quattro operazioni. Dato che nel 2017 si stima che il rapporto debito/Pil sia stato del 131.6% (1.316) e che la nota di aggiornamento al DEF prevede per il 2018 una crescita nominale del 3% (0.03), ne consegue che il rapporto deficit/Pil che stabilizzerebbe il debito nel 2018 sarebbe pari a 0.03x1.316 = 0.039 (il 3.9%). Da notare che nel nostro quadro programmatico prevediamo invece un rapporto deficit/Pil del 2.8% (superiore all'1.6% proposto dal governo, o al suicida 1.2% proposto da +Europa, col quale si sarebbe ripetuto l'errore di Monti!), che quindi porta a una diminuzione (controllata) del rapporto debito/Pil (essendo inferiore al valore del deficit che questo rapporto lo stabilizzerebbe).

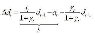
Il problema è che qui stiamo considerando solo il fabbisogno complessivo. Il passo avanti che vorrei fare oggi con voi è scorporare il fabbisogno complessivo in fabbisogno primario (al netto della spesa per interessi) e spesa per interessi. Il vantaggio di questa piccola complicazione è che ci permetterà di analizzare l'impatto sulla sostenibilità del debito pubblico delle variazioni del tasso di interesse (sappiamo che dovrà crescere, no?), e inoltre ci permetterà di ragionare in termini di avanzo primario, una categoria che nel dibattito viene utilizzata spesso.

Scomponiamo il deficit

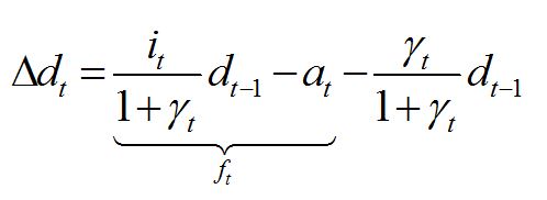
A questo scopo, esprimiamo il fabbisogno complessivo scomponendolo nel modo seguente:
ovvero, la variazione del debito è pari alla spesa per interessi (a sua volta data dal prodotto del tasso di interesse per lo stock di debito esistente all'inizio del periodo), cui viene sottratto l'avanzo primario. Mettiamo un segno meno proprio perché stiamo ragionando in termini di avanzo (differenza fra entrate e uscite). Se ragionassimo in termini di disavanzo (differenza fra uscite e entrate) dovremmo mettere un segno positivo. Lo facciamo perché mentre quando si ragiona in termini complessivi ci si sofferma sul deficit, quando si parla di saldi primari normalmente si considera l'avanzo. Non chiedetemi perché! L'importante, però, è capirsi. Ovviamente mentre un disavanzo aggiunge qualcosa al debito, un avanzo sottrae al debito: ed è per quello che lo vedete con il segno meno.

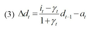
Ripetendo i passaggi che portano dalla (3) alla (4) del precedente post, dato che
dividendo per il Pil nominale Y otteniamo:
e sottraendo il rapporto debito/Pil al tempo precedente da entrambi i lati:
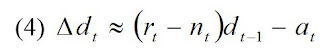
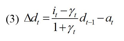
ricaviamo la variazione del rapporto debito/Pil in funzione del tasso di interesse i e dell'avanzo primario a (in rapporto al Pil):

La formula è molto simile alla (6) del post precedente. Lo si vede meglio se la scriviamo così:
dove ho scomposto il rapporto presente nella (3) nei suoi due termini (questo vostro figlio lo sa fare...), e ho poi raggruppato, evidenziandoli con una graffa, i termini che corrispondono alla scomposizione del fabbisogno complessivo f nei due elementi che ci interessano: la spesa per interessi, e l'avanzo primario cambiato di segno. Quindi stiamo dicendo la stessa cosa di prima, (il debito cresce se il deficit è positivo, ma cala se la crescita nominale è sufficientemente elevata da compensare l'effetto del deficit) ma in modo diverso, con più dettagli (in particolare, mettendo in evidenza il ruolo del tasso di interesse: evidentemente, quanto più questo è alto, tanto più il rapporto debito/Pil crescerà).

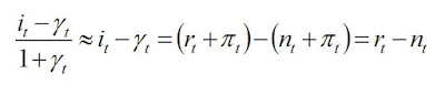
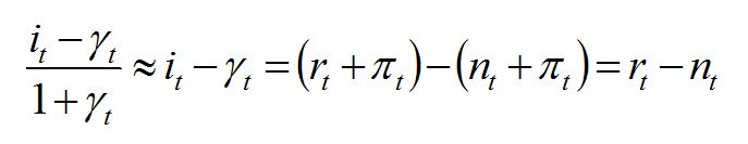
Ora, però, dobbiamo fare un ulteriore sforzo per avvicinarci alle categorie del dibattito, ma sarà uno sforzo abbastanza indolore (o tale cercherò di renderlo). Va infatti detto che normalmente quando si parla di crescita, ci si riferisce alla crescita reale, cioè al netto dell'inflazione. Possiamo chiamare questa crescita n. Allo stesso modo, possiamo definire il tasso di interesse reale r come quello al netto dell'inflazione. In altri termini, per semplicità, abbiamo:
(gli ingengngnieri, che sanno che sto linearizzando, mi perdoneranno. Per tutti gli altri queste parole non sono mai esistite... ma forse nemmeno le altre!).

Ora, torniamo al punto che se la crescita nominale è bassa, dividere per uno più gamma lascia le cose inalterate, e quindi, nella formula (3), avremo che:
Insomma: lo scarto fra tasso di interesse e tasso di crescita nominali (diviso per uno più il tasso di crescita nominale) è sostanzialmente uguale allo scarto fra tasso di interesse e tasso di crescita reali, il che, alla fine di tutta questa lunga storia, ci permette di esprimere la variazione del rapporto debito/Pil in questo modo:
Quest'ultima formula non è difficilissima da interpretare, ma spalanca un mondo e mette insieme tanti discorsi fatti qui nel corso degli anni.

Ad esempio: ricordate la repressione finanziaria? Sì, mi riferisco a quel paper di Reinhart e Sbrancia sul quale uno di voi aveva attirato la mia attenzione (chissà se è ancora qui?), e che avevo utilizzato poi in vari interventi (ad esempio nel 2013 al Parlamento Europeo). Quel lavoro (lo trovate qui) spiega molto bene come la discesa del debito dai picchi raggiunti dopo la seconda guerra mondiale sia stata realizzata soprattutto controllando il tasso di interesse, che nell'era della repressione finanziaria era stato, in termini reali, mediamente negativo:

Nei paesi avanzati, come vedete, la media era stata di -1.1, contro una media di 2.7 dopo la svolta all'inizio degli anni '80. La formula (4) vi spiega molto bene perché questo ha favorito la spettacolare discesa del debito che ricorderete, ma che vi ripropongo qui:

Il motivo, quando sai l'aritmetica del debito, è banale. Se il tasso di interesse reale è negativo, a meno di una recessione che rende negativa la crescita reale n, il primo termine della (4) sarà negativo, e questo favorirà la diminuzione del rapporto debito/Pil anche se c'è un disavanzo. Faccio un esempio numerico: con un rapporto debito/Pil al 130% (1.3), come il nostro (approssimativamente), un tasso di interesse reale del -1.1% (-0.011), come al tempo della repressione finanziaria, e una crescita reale dell'1.2% (come quella ipotizzata dalla nota di aggiornamento al DEF), avremmo:


per cui il rapporto debito/Pil diminuirebbe anche con un disavanzo primario (cioè con un -a positivo), purché inferiore al 2.9%.

Non c'è che dire: lasciare che il costo del debito (e quindi l'ammontare di reddito trasferito ai rentier) lo decida lo Stato (controllando e regolamentando i mercati finanziari nei modi che sapete), anziché "i mercati", cambia decisamente la prospettiva.

Ora, questo mondo non è più il nostro, e la cesura qui da noi è stata il "divorzio" fra Tesoro e Banca d'Italia (cioè la decisione della Banca d'Italia di non calmierare più il costo del finanziamento del debito pubblico intervenendo sul mercato, in modo da costringere lo Stato a fare avanzi primari - che ininterrottamente fa dal 1992, con la sola eccezione dei due anni di crisi, 2009 e 2010): questi avanzi sono, come ci siamo ampiamente detti ne Il tramonto dell'euro, un gigantesco trasferimento di risorse dalle forze produttive del paese (famiglie e piccole imprese) verso il sistema finanziario, che sentitamente ringrazia (e quando il sistema scricchiola manda i suoi proconsoli a sistemare le cose).

Tuttavia, l'analisi storica di Reinhart e Sbrancia chiarisce molto bene due cose, che sapete. La prima è che oggi siamo, in termini di debito pubblico, a un massimo storico (e non dipende solo dal nostro paese!). La seconda è che da simili punti di massimo si torna verso situazioni più sostenibili in tre modi: con l'iperinflazione, con la bancarotta, o con la regolamentazione dei mercati finanziari (per favorire una crescita moderatamente inflazionistica). Questa è la lezione della storia, e non ci possiamo fare nulla né io, né voi, né i miei amici mercati. Il cambio fisso, senza regolamentazione dei movimenti di capitale (come nel sistema di Bretton Woods in vigore fino al 1971) ha, fra i vari pregi, anche quello di essere fautore di instabilità finanziaria.

L'ultima volta che li ho visti, gli amici mercati, a Londra, un paio di settimane or sono, una seccante investitrice originaria di un paese periferico, che, come tutti gli ascari, manifestava grande fedeltà alla causa e grande venerazione per i suoi colonizzatori, mi decantava l'efficienza del governo di Macron che, a suo dire, si era presentato al colloquio coi mercati con un programma dettagliatissimo, e lo stava realizzando (e io dentro di me ridevo, perché questo blog che fu Cassazione per Hollande lo sarà anche per Macron, ed è veramente preoccupante che i nostri soldi siano in mano a persone che invece di avere l'umiltà di stare ad ascoltare chi ne sa più di loro e lo ha dimostrato continuino a ripetersi i mantra che i giornali defecano quotidianamente, senza avere un nanosecondo di memoria storica, quello che basterebbe per capire che in certi racconti c'è molto che non va...). Insomma, mentre questa qui continuava a seccarmi con domande petulanti sull'uscita dall'euro, per mettermi in difficoltà (a me!?), io, con grande serenità, con grande cordialità, ma con sufficiente fermezza, ho chiarito una cosa: che anche se fare default non è minimamente l'intenzione dell'Italia, né tantomeno la nostra se andassimo al governo, e anche se siamo ancora ben lontani da una situazione simile, tuttavia la storia dimostra che proseguendo con le politiche di austerità estrema che lei chiedeva, perché pensava di andarne immune (e io, con grande pietas, già la vedevo in mezzo a una strada con lo scatolone di cartone), alla fine, dalle e dalle, l'alternativa non sarebbe più quella fra essere pagati in euro o in "lirette svalutate", ma quella fra essere pagati in valuta nazionale o non essere pagati per niente: e questo non solo nel caso nostro, ma anche in quello del suo amico Macron, che ha pur sempre un discreto problema di deficit gemelli.

Lei non ha capito, ma altri sì: occorre un ripensamento profondo delle regole, questo è chiaro, occorre crescita, e quello che serve per renderla sostenibile. Quello che non è chiaro è se saremo abbastanza ragionevoli da realizzare i passi necessari evitando una ulteriore catastrofe. A giudicare dai discorsi che si sentono in televisione e si leggono sui giornali, c'è da essere piuttosto pessimisti. Ma di questo parleremo un'altra volta...





(...ora aspetto una slavina di "urge" e di "non hai detto che bisogna uscire dall'euro", e via moreggiando... Quod dixi dixi: io posso dirlo. E voi?...)

(...ah, questa era una lezione: l'esercitazione arriva domani, o dopodomani. Metteremo dei numeri nella formula per vedere bene come funziona. Dopo di che, ne saprete più degli austeri Soloni che pontificano in televisione, e potremo divertirci un po' alle loro spalle...)